Ancien du Bureau Solution Roussette Posted November 15, 2022 Ancien du Bureau Solution Posted November 15, 2022 Saaluuut les paPASS Noël !!!! J'ai une grande nouvelle à vous annoncer .... Le Poly de l'Avent est disponible sur la librairie Vous allez me dire "qu'est-ce que c'est que ce truc ?" .... je m'explique ! C'est un formidable poly qui peut vous servir durant vos révisions, que vos tuteurs et vos RMs ont passé du temps à confectionner avec amour Vous avez pour chaque UE : 3 sujets-types mais aussi une multitude de QCMs supplémentaires pour vous aider à cibler les chapitres qui vous posent le plus soucis. Il y a aussi beaucoup de petites surprises Si vous avez des errata à faire remonter : c'est ici (attention il y a un post comme ça par matière, ne vous trompez pas !) et si vous avez la moindre question, n'hésitez pas, on reste disponibles pendant toutes vos révisions ! [ERRATAS] Sujet-type 1 - QCM 1 -> petit souci à la compilation, le schéma ressemble à ça : Révélation - QCM 2 -> petit souci à la compilation le schéma ressemble à ça : Révélation - QCM 8 item A -> passe FAUX et la correction est : "Attention l'hypothèse nulle se fait dans la population !" - QCM 9 item A -> passe FAUX et la correction est : "On est dans le cas d'une comparaison d'une moyenne à une valeur théorique, ainsi la seule condition d'application du test de Student est la normalité de la distribution." - QCM 10 -> il faudrait rajouter l'information entre "guillemets" à la fin de l'énoncé : On donne α = 5% "et χ²(1);α = 3,84." - QCM 12 item B -> passe FAUX et la correction est : "L'utilisation d'un placebo n'a pas de lien avec la mise en place d'une évaluation en aveugle. Il peut d'ailleurs ne pas y avoir de placebo, mais comparer un médicament de référence avec le médicament à tester. Le terme aveugle exige simplement que le patient et/ou le médecin ne connaissent pas le traitement administré." Sujet-type 2 - QCM 5 -> petit souci à la compilation pour la correction, le schéma ressemble à ça : Révélation - QCM 10 -> le tableau de l'énoncé est remplacé par le suivant : Sujet-type 3 - QCM 10 item B/C ->reste VRAI mais le calcul complet de la correction est le suivant : Révélation QCM supplémentaires - QCM 33 item A (ambiguë) -> reste FAUX mais l'énoncé deviens : "L'hypothèse alternative H1 est formulée en fonction du rejet ou non de H0." et pour la correction il faudrait la changer aussi avec : "La formulation de H1 ne dépend pas rejet ou non de H0 puisqu'elle est formulée a priori du test." - QCM 39 item A -> passe VRAI et la justification devient : "Dans le cas d'une comparaison de moyennes entre deux échantillons, si n > 30 on utilise préférentiellement un test de l'écart réduit, même si un test de Student est également possible." - QCM 58 item E -> passe VRAI et la justification devient : "Si RR<1, l'exposition diminue significativement le risque de la survenue de la maladie (facteur protecteur), ainsi l'incidence de la maladie est bien significativement plus élevée chez les non exposés (puisqu'ils n'ont pas le facteur protecteur) que chez les exposés." Bisous et bon courage Tendresse Amour et Tutorat Votre RL qui vous aime et qui ne peut pas vous laisser sans le fameux QCM40 : QCM 40 - C'est le moment de sortir les blagues de Noël les plus classiques, les plus traditionnelles mais aussi les plus drôles selon moi : A. Comment appelle-t-on un chat qui est tombé dans un pot de peinture le jour de Noël ? Un Chat-peint de Noël. B. Que dit un sapin de Noël qui arrive en retard le soir du réveillon ? "Je vais encore me faire enguirlander !". C. Pourquoi le Père-Noël porte-t-il des bretelles rouges ? Pour tenir son pantalon. D. Qu'est-ce qui a 34 jambes, 9 têtes et 2 bras ? Le Père-Noël et ses rennes. E. Pourquoi le Père-Noël a une barbe blanche ? Pour se différencier du Petit Chaperon Rouge ! thelonelymountain, Flèche and Movgde 1 1 1 Quote
Guest Posted November 25, 2022 Posted November 25, 2022 Bonjour, Concernant le QCM supplémentaire 58 item E compté faux : "Si la borne supérieure de l’intervalle de confiance à 95% du Risque Relatif (RR) est strictement inférieure à 1, on peut dire que l’incidence de la maladie est significativement plus élevée chez les non exposés que chez les exposés, au risque de 5%." Il est compté faux et la correction est la suivante : "C’est l’inverse : si RR<1, l’exposition diminue significativement le risque de la survenue de la maladie (facteur protecteur), ainsi l’incidence de la maladie est significativement plus élevée chez les exposés que chez les non exposés." En sachant que le risque relatif c'est le risque chez les exposés/risque chez les non exposés, si la borne supérieure de l'IC du RR est inférieure à 1, en considérant que le RR est compris dans l'intervalle (ce qui est toujours le cas pour nous d'après ce que j'ai lu, le RR est aussi en dessous de 1, donc la la présence de maladie est significativement moins élevée chez les exposées que les non-exposés non ? De plus il me semble que la correction se contredit. Merci Quote
Ancien Responsable Matière Flèche Posted November 25, 2022 Ancien Responsable Matière Posted November 25, 2022 Coucou @RayanZ ! il y a 6 minutes, RayanZ a dit : Concernant le QCM supplémentaire 58 item E compté faux : "Si la borne supérieure de l’intervalle de confiance à 95% du Risque Relatif (RR) est strictement inférieure à 1, on peut dire que l’incidence de la maladie est significativement plus élevée chez les non exposés que chez les exposés, au risque de 5%." Il est compté faux et la correction est la suivante : "C’est l’inverse : si RR<1, l’exposition diminue significativement le risque de la survenue de la maladie (facteur protecteur), ainsi l’incidence de la maladie est significativement plus élevée chez les exposés que chez les non exposés." En sachant que le risque relatif c'est le risque chez les exposés/risque chez les non exposés, si la borne supérieure de l'IC du RR est inférieure à 1, en considérant que le RR est compris dans l'intervalle (ce qui est toujours le cas pour nous d'après ce que j'ai lu, le RR est aussi en dessous de 1, donc la la présence de maladie est significativement moins élevée chez les exposées que les non-exposés non ? De plus il me semble que la correction se contredit. Tu as totalement raison, on s'est probablement emmêlé les pinceaux entre exposés et non-exposés... Du coup l'item E du QCM 58 dans les QCM supplémentaires passe VRAI. On est vrmt désolé pour ce manque d'attention... jugouaze 1 Quote
Ancien Responsable Matière davidd Posted November 26, 2022 Ancien Responsable Matière Posted November 26, 2022 Salut, je ne comprends pas plusieurs systèmes. Il ne s'agit sans doute pas des erratas, mais bon. Pour le sujet 1 L'item 2D j'ai l'impression qu'on est bien en dessous de la moitié Du Carré pour la valeur 74. Pour l'item D du 4.Je l'avais mis faux car pour moi on est dans l'échantillon et donc par conséquent c'est n moins un dans la formule.; L'item 4D je pense avoir compris mon erreur mais juste pour etre sur Quote
Ancien Responsable Matière Flèche Posted November 26, 2022 Ancien Responsable Matière Posted November 26, 2022 Coucou @davidd ! Pour le sujet 1 QCM 2, y'a eu un souci à la compilation donc je te laisse regarder le bon schéma dans le premier post résumant les erratas. Pour le sujet 1 QCM 4 item D, on est dans le cas d'une variable de Bernoulli (malades ou non malades ?) avec une proportion/prévalence pi de lutins atteints de la maladie. Tu peux donc appliquer la formule de cours pour calculer l'estimation par intervalle de confiance de cette proportion (cf la correction psk je peux pas l'écrire ici dsl) puisque les conditions d'application sont réunies : np > 5 <=> 400 x 0,75 > 5 <=> 300 > 5 ; et n(1-p) > 5 <=> 400 x 0,25 > 5 <=> 100 > 5. (ici j'ai pas utilisé pborne inf ni pborne sup psk flemme de calculer et dans tous les cas ça ne changerait pas grand-chose car dans tous les cas le résultat serait clairement supérieur à 5) J'espère avoir répondu à ta deuxième question (mais si ce n'est pas tout à fait le cas n'hésite pas à me le dire) et pour la première je vais voir avec la RL ce qui s'est passé à la compilation dsl çapasseouçacasse 1 Quote
Ancien Responsable Matière davidd Posted November 26, 2022 Ancien Responsable Matière Posted November 26, 2022 il y a 1 minute, Flèche a dit : Pour le sujet 1 QCM 2, est-ce que tu vois bien ce schéma ? Psk je crois que y'a eu un souci à la compilation visiblement... Ceci explique cela je ne voyais pas ça c'est nickel du coup merci beaucoup Pour le 4 d je comprends la formule mais je vois pas pourquoi on utilise celle de la population sachant que pour moi on est dans un echantillon Quote
Ancien Responsable Matière Flèche Posted November 26, 2022 Ancien Responsable Matière Posted November 26, 2022 Le 26/11/2022 à 11:49, davidd a dit : Ceci explique cela je ne voyais pas ça c'est nickel du coup merci beaucoup Merci à toi plutôt psk enft je l'avais pas vu donc faut que je le fasse modifier (au passage y'a un pb avec quasiment tous les schémas je vais pleurer ) Le 26/11/2022 à 11:49, davidd a dit : Pour le 4 d je comprends la formule mais je vois pas pourquoi on utilise celle de la population sachant que pour moi on est dans un echantillon Alors effectivement on est dans un échantillon donc ici on calcule un intervalle de confiance de la proportion dans la population à partir de la proportion observée dans l'échantillon. Tu voulais utiliser quelle formule ? Psk je trouve pas de formule qui estime une proportion avec divisé par n-1 (t'es sûr que tu confonds pas avec l'estimation ponctuelle de la moyenne ?). Quote
Ancien Responsable Matière davidd Posted November 26, 2022 Ancien Responsable Matière Posted November 26, 2022 il y a 3 minutes, Flèche a dit : Tu voulais utiliser quelle formule ? Psk je trouve pas de formule qui estime une proportion avec divisé par n-1 (t'es sûr que tu confonds pas avec l'estimation ponctuelle de la moyenne ?). Ahhhh oui c'est çaaaaaa !! il y a 3 minutes, Flèche a dit : Merci à toi plutôt psk enft je l'avais pas vu donc faut que je le fasse modifier (au passage y'a un pb avec quasiment tous les schémas je vais pleurer ) Merde ça arrive En tout cas merci beaucoup Flèche 1 Quote
Ancien Responsable Matière Thomastocyte Posted November 26, 2022 Ancien Responsable Matière Posted November 26, 2022 Salut , Pour le QCM 9 TYPE 1 , je pense qu'il y a un soucis, l'énoncé nous montre pas du tout la présence de deux échantillons indépendants, donc l'item A doit être faux, car les variances qui sont égales c'est juste dans ce cas-ci... Merci encore Quote
Ancien Responsable Matière Flèche Posted November 26, 2022 Ancien Responsable Matière Posted November 26, 2022 Coucou @THOMAASS ! il y a 38 minutes, THOMAASS a dit : Pour le QCM 9 TYPE 1 , je pense qu'il y a un soucis, l'énoncé nous montre pas du tout la présence de deux échantillons indépendants, donc l'item A doit être faux, car les variances qui sont égales c'est juste dans ce cas-ci... Effectivement tu as raison, ici on compare une moyenne à une valeur théorique ainsi l'égalité des variances n'est pas une condition d'application. L'item A du QCM 9 du sujet-type 1 passe donc FAUX. On est vrmt désolés pour ce manque d'attention... Quote
Ancien Responsable Matière Movgde Posted November 26, 2022 Ancien Responsable Matière Posted November 26, 2022 Salut @THOMAASS ! Oui t'as raison l'item A passe faux, on est dans le cas d'une comparaison d'une moyenne avec une valeur théorique, la normalité de la variable dans la population suffit ! Quote
çapasseouçacasse Posted November 27, 2022 Posted November 27, 2022 (edited) bonjour, j'ai un problème aussi pour le QCM 9 du sujet 1 (je ne penses pas que ce soit une erreur mais juste une imcompréhension de ma part) :) je ne comprends pas pourquoi l'item C est juste, pourquoi on choisit cette valeur seuil plutot qu'une autre ? merci d'avance !!! Edited November 27, 2022 by cam's Quote
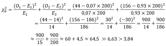
çapasseouçacasse Posted November 27, 2022 Posted November 27, 2022 (edited) reBonjour ! Je ne comprends pas dans la correction du qcm 10 item D d'où sort la valeur X^² (1) ; a = 3,84 ;est-ce qu'on doit savoir la calculer ? je ne la vois pas dans l'énoncé non plus. Et est-ce qu'on aurait pu passer par la comparaison "simple" des % en remarquant que les % de malades observés dans l'échantillon (soit 35/300) était environ égal à 10% et conclure qu'il n'y avait pas de différence significative, soit le non rejet de Ho ? ou est-ce qu'on doit obligatoirement passer par ces calculs pour etre sur de la réponse ? merci d'avance !!! Edited November 27, 2022 by cam's Quote
Ancien Responsable Matière Flèche Posted November 27, 2022 Ancien Responsable Matière Posted November 27, 2022 Coucou @cam's ! il y a 16 minutes, cam's a dit : je ne comprends pas pourquoi l'item C est juste, pourquoi on choisit cette valeur seuil plutot qu'une autre ? Pour choisir la valeur seuil, il faut prendre celle qui correspond au bon risque alpha et au bon degré de liberté (ddl). Ici, le risque alpha indiqué dans l'énoncé est de 5% et le ddl est de 18. Pour trouver le ddl, il faut réfléchir d'abord à quel type de test on effectue. Ici on compare une moyenne (142 mmHg) à une moyenne théorique (140 mmHg). Ainsi tu peux effectuer un test de Student avec un ddl = n - 1. Dans notre cas n = 19, donc ddl = n - 1 = 19 - 1 = 18. Ainsi, la valeur seuil à choisir était celle correspondant au risque alpha 5% et ddl = 18. On trouve alors bien 1,73. L'item C est donc bien vrai. N'hésite pas si tu as des questions ! çapasseouçacasse 1 Quote
çapasseouçacasse Posted November 27, 2022 Posted November 27, 2022 @Flèche merci pour ta réponse :) Flèche 1 Quote
Ancien Responsable Matière Flèche Posted November 27, 2022 Ancien Responsable Matière Posted November 27, 2022 il y a 4 minutes, cam's a dit : Je ne comprends pas dans la correction du qcm 10 item D d'où sort la valeur X^² (1) ; a = 3,84 ;est-ce qu'on doit savoir la calculer ? je ne la vois pas dans l'énoncé non plus. Oula euh effectivement elle manque dans l'énonce, mais pas de panique elle n'est pas à apprendre par cœur elle a dû se perdre en corrigeant 36000 fois les QCM désoleeeeeeee il y a 7 minutes, cam's a dit : Et est-ce qu'on aurait pu passer par la comparaison "simple" des % en remarquant que les % de malades observés dans l'échantillon (soit 35/300) était environ égal à 10% et conclure qu'il n'y avait pas de différence significative, soit le non rejet de Ho ? ou est-ce qu'on doit obligatoirement passer par ces calculs pour etre sur de la réponse ? Non ici il faut obligatoirement passer par le calcul pour le vérifier car cela dépend de ton risque d'erreur. En fonction des énoncés, il faut soit comparer le degré de signification p au risque alpha, soit comparer la statistique de test à la valeur seuil. Si vrmt tu es à court de temps à toi de voir si tu tentes de répondre quand même sans faire le calcul (en vrai parfois ça peut se tenter mais en général vous avez le temps en biostats donc autant ne pas prendre le risque de perdre des points inutilement). çapasseouçacasse 1 Quote
çapasseouçacasse Posted November 27, 2022 Posted November 27, 2022 @Flèche merci encore pour ta réponse !! Quote
Ancien Responsable Matière Lulu_le_Fou Posted November 27, 2022 Ancien Responsable Matière Posted November 27, 2022 Coucou, j'ai fait le sujet 1 et j'ai quelques questions : (et oui c'est à votre tour de maintenant ) - Item A QCM 8 compté vrai : on parle d'hypothèse nulle mais on est dans les groupes soit les échantillons, or c'est dans des populations (à chaque fois j'ai du mal avec cette subtilité) QCM 10 : Est ce que vous pensez qu'il faut apprendre les formules de statiques de test ? est ce que c'est tombé dans les annales parce que j'ai un peu la flemme de les apprendre notamment si ça tombe pas (la prof a pas tellement insisté dessus, mais comme ça tombe souvent les calculs de la chi2 au TAT, je voulais savoir) item B QCM 12 compté vrai : Comment utiliser un placebo permet de faire une etude en aveugle ?? Alors qu'il existe des études ouvertes avec placebo ? Et où est le lien entre utiliser un produit inerte et pas dire au patient ce qu'il reçoit ? Item E QCM 14 compté vrai : Pourquoi l'Intervalle de confiance prend en compte les erreurs systématiques (c'est le biais je crois) puisque si nos calculs sont biaisiés, j'arrive pas à voir comment l'intervalle de confiance va "corriger ce biais" (à part l'erreur à risque 5 pourcent mais ça parait faible pour corriger un biais) Je sais pas si vous voyez ce que je veux dire Merci d'avance ! Quote
emmacrophage Posted November 27, 2022 Posted November 27, 2022 coucou ! par rapport au qcm 11 item B du sujet 2, on nous dit que le coefficient de corrélation r estimé est obligatoirement compris entre -1 et 1, du coup les deux coefficients de corrélation p et r (population et échantillon) sont tous les deux forcément compris entre -1 et 1 ? (je pensais que c'était que p, après ça parait logique si ça l'est dans la population ça l'est aussi dans l'échantillon) je voulais juste avoir confirmation :)) Quote
Ancien Responsable Matière Flèche Posted November 27, 2022 Ancien Responsable Matière Posted November 27, 2022 Coucou @emmacrophage ! il y a 7 minutes, emmacrophage a dit : on nous dit que le coefficient de corrélation r estimé est obligatoirement compris entre -1 et 1, du coup les deux coefficients de corrélation p et r (population et échantillon) sont tous les deux forcément compris entre -1 et 1 ? (je pensais que c'était que p, après ça parait logique si ça l'est dans la population ça l'est aussi dans l'échantillon) je voulais juste avoir confirmation :)) Effectivement tu as raison r et ρ sont tous les deux strictement compris en -1 et 1. emmacrophage 1 Quote
simon.dhuique-mayer Posted November 27, 2022 Posted November 27, 2022 il y a 9 minutes, Lulu_le_fou a dit : Coucou, j'ai fait le sujet 1 et j'ai quelques questions : (et oui c'est à votre tour de maintenant ) - Item A QCM 8 compté vrai : on parle d'hypothèse nulle mais on est dans les groupes soit les échantillons, or c'est dans des populations (à chaque fois j'ai du mal avec cette subtilité) QCM 10 : Est ce que vous pensez qu'il faut apprendre les formules de statiques de test ? est ce que c'est tombé dans les annales parce que j'ai un peu la flemme de les apprendre notamment si ça tombe pas (la prof a pas tellement insisté dessus, mais comme ça tombe souvent les calculs de la chi2 au TAT, je voulais savoir) item B QCM 12 compté vrai : Comment utiliser un placebo permet de faire une etude en aveugle ?? Alors qu'il existe des études ouvertes avec placebo ? Et où est le lien entre utiliser un produit inerte et pas dire au patient ce qu'il reçoit ? Item E QCM 14 compté vrai : Pourquoi l'Intervalle de confiance prend en compte les erreurs systématiques (c'est le biais je crois) puisque si nos calculs sont biaisiés, j'arrive pas à voir comment l'intervalle de confiance va "corriger ce biais" (à part l'erreur à risque 5 pourcent mais ça parait faible pour corriger un biais) Je sais pas si vous voyez ce que je veux dire Merci d'avance ! Salut, Pour l'item A QCM 8 - L'hypothèse nulle repose toujours sur une égalité donc sur une absence de différence significative, et on regarde une différence entre les 2 échantillons, qui appartiennent à la même population (ici la population c'est les 500 PASS) Pour le QCM 10 - Techniquement, tu peux avoir une note correcte sans les apprendre, mais tu peux être quasi-certain que ça tombera. Libre à toi de faire l'impasse après... Mais c'est un peu audacieux tu t'en doutes. Pour l'item B QCM 12 - Pour une étude en double-aveugle, le schéma général est le suivant : il y a 2 groupes, celui des sujets traités avec le médicament à tester et celui des sujets sous placebo, et ni les sujets, ni les médecins ne savent à quel groupe les sujets appartiennent. Cela permet de vérifier si l'effet du médicament à tester n'est pas dû à l'effet placebo. Et si tu dis à ton sujet qu'il a le placebo, tu peux être sûr qu'il ne va pas avoir d'effet, c'est pour ça que tu ne lui dis pas. Pour l'item E QCM 14 - Là j'ai un doute, comme toi j'aurais plutôt pensé que c'est faux, j'appelle @Flèche à la rescousse ! Si ce que j'ai dit n'est pas tout à fait clair n'hésite pas à me le dire et je ferai mieux Movgde, Lulu_le_Fou and Flèche 1 1 1 Quote
Ancien Responsable Matière Flèche Posted November 27, 2022 Ancien Responsable Matière Posted November 27, 2022 Coucou @Lulu_le_fou ! il y a 22 minutes, Lulu_le_fou a dit : - Item A QCM 8 compté vrai : on parle d'hypothèse nulle mais on est dans les groupes soit les échantillons, or c'est dans des populations (à chaque fois j'ai du mal avec cette subtilité) Euuuuuuh oui tu as totalement raison ! Dsl pour ce manque d'inattention de notre part... L'item A du QCM 8 du sujet-type 1 passe donc FAUX. il y a 25 minutes, Lulu_le_fou a dit : QCM 10 : Est ce que vous pensez qu'il faut apprendre les formules de statiques de test ? est ce que c'est tombé dans les annales parce que j'ai un peu la flemme de les apprendre notamment si ça tombe pas (la prof a pas tellement insisté dessus, mais comme ça tombe souvent les calculs de la chi2 au TAT, je voulais savoir) Pour les formules du chi², personnellement je les avais apprises car enft il s'agit toujours de la même mais plus ou moins adaptée à la situation. En gros tu fais toujours ce calcul (O-E)² / E pour chaque "catégorie" (y'en a juste pas forcément le même nombre). Donc à mon avis ça me paraît plus judicieux de l'apprendre, mais après c'est à toi de voir si tu trouves ça utile ou non. il y a 30 minutes, Lulu_le_fou a dit : item B QCM 12 compté vrai : Comment utiliser un placebo permet de faire une etude en aveugle ?? Alors qu'il existe des études ouvertes avec placebo ? Et où est le lien entre utiliser un produit inerte et pas dire au patient ce qu'il reçoit ? Effectivement cet item n'a aucun sens mdrrr Je suis vrmt dsl pourtant on y a passé des heures et des heures avec @Movgde (je vais pleurer ) mais visiblement on a encore laissé passer des items louches sorryyyyy Je pense qu'on peut l'annuler et on le remplacera pour les années suivantes (@Movgde t'en penses quoi ?). il y a 35 minutes, Lulu_le_fou a dit : Item E QCM 14 compté vrai : Pourquoi l'Intervalle de confiance prend en compte les erreurs systématiques (c'est le biais je crois) puisque si nos calculs sont biaisiés, j'arrive pas à voir comment l'intervalle de confiance va "corriger ce biais" (à part l'erreur à risque 5 pourcent mais ça parait faible pour corriger un biais) Je sais pas si vous voyez ce que je veux dire L'intérêt de faire un intervalle de confiance est qu'il englobe plus de valeurs et donc il peut prendre en compte les erreurs commises (aléatoires ou systématiques). Après oui tu auras forcément un risque alpha de te tromper et de laisser passer qq erreurs mais dans l'idée l'intervalle de confiance est là pour les limiter. En résumé, plus tu prends de valeurs dans ton intervalle de confiance, moins tu as de chance de laisser passer des valeurs dispersées ou biaisées, d'où l'intérêt de l'intervalle de confiance. Jsp si c'est hyper clair dsl mais en vrai dans ce chapitre on ne vous posera pas de questions précises sur les intervalles de confiance (jsp ce qu'il fait là cet item dsl ). N'hésite pas si tu as des questions ! Movgde and Lulu_le_Fou 1 1 Quote
Ancien Responsable Matière Lulu_le_Fou Posted November 27, 2022 Ancien Responsable Matière Posted November 27, 2022 (edited) il y a 4 minutes, Flèche a dit : Pour les formules du chi², personnellement je les avais apprises car enft il s'agit toujours de la même mais plus ou moins adaptée à la situation. En gros tu fais toujours ce calcul (O-E)² / E pour chaque "catégorie" (y'en a juste pas forcément le même nombre). Donc à mon avis ça me paraît plus judicieux de l'apprendre, mais après c'est à toi de voir si tu trouves ça utile ou non. il y a 32 minutes, simon.dhuique-mayer a dit : Pour le QCM 10 - Techniquement, tu peux avoir une note correcte sans les apprendre, mais tu peux être quasi-certain que ça tombera. Libre à toi de faire l'impasse après... Mais c'est un peu audacieux tu t'en doutes On va appliquer les conseils des anciens alors ! il y a 4 minutes, Flèche a dit : Effectivement cet item n'a aucun sens mdrrr Je suis vrmt dsl pourtant on y a passé des heures et des heures avec @Movgde (je vais pleurer ) mais visiblement on a encore laissé passer des items louches sorryyyyy Je pense qu'on peut l'annuler et on le remplacera pour les années suivantes (@Movgde t'en penses quoi ?). Pas de problème, mais c'est pas grave c'est normal vous avez des études à côté qui sont loin d'être les plus faciles et de tout repos il y a 4 minutes, Flèche a dit : L'intérêt de faire un intervalle de confiance est qu'il englobe plus de valeurs et donc il peut prendre en compte les erreurs commises (aléatoires ou systématiques). Après oui tu auras forcément un risque alpha de te tromper et de laisser passer qq erreurs mais dans l'idée l'intervalle de confiance est là pour les limiter. En résumé, plus tu prends de valeurs dans ton intervalle de confiance, moins tu as de chance de laisser passer des valeurs dispersées ou biaisées, d'où l'intérêt de l'intervalle de confiance Je vois ce que tu veux dire, là j'ai joué un peu sur les mots Edited November 27, 2022 by Lulu_le_fou Flèche and Movgde 1 1 Quote
Ancien Responsable Matière Movgde Posted November 27, 2022 Ancien Responsable Matière Posted November 27, 2022 il y a 40 minutes, Flèche a dit : (@Movgde t'en penses quoi ?). Ouais faudra le modifier je sais pas comment on a fait pour laisser passer ça, il a aucun sens cet item ou alors suffit juste de passer l'item en faux car justement il a aucun sens. @Flèche Quote
Protozoaire Posted November 29, 2022 Posted November 29, 2022 Bonjour j’ai une questionnn pas obligatoirement un errata en fait je sais pas. Par rapport au Qcm 33 dans les qcms supplémentaires : il est compté faux et la correction dit que H1 n’est formule qu’en cas de rejet de H0. cependant dans mon cours j’ai marqué que les deux sont formulées à priori du test. ma question : Quand est-ce qu’on formule H1 ? Quote
Recommended Posts
Join the conversation
You can post now and register later. If you have an account, sign in now to post with your account.
Note: Your post will require moderator approval before it will be visible.