Leaderboard
Popular Content
Showing content with the highest reputation since 01/08/2026 in Posts
-
niveau C1/C2 et expressions idiomatiques
anaé.sthésie reacted to TiBin for a topic
Enfaite le prof veut nous faire atteindre le niveau C1+ donc meme les modules C2 sont obligatoire pour nous faire atteindre le niveau C1+... Ainsi mĂȘme si c'est niveau C2 faut apprendre0 points -
Ok merci beaucoup pour vos réponses !0 points
-
QCM d'entrainement à l'épreuve de grammaire
lena'sista'cétylcholine, reacted to lucil_e_tubaire for a topic
Coucou @lena'sista'cĂ©tylcholine,, câest toujours mieux de commencer un nouveau sujet quand tu as une nouvelle question comme ça dtes collĂšgues peuvent mieux trouver ce quâils cherchent dans les diffĂ©rentes sections Perso jâai tout fichĂ© et au final jâai pas vrm trouvĂ© ça utile, le plus efficace a Ă©tĂ© de faire des annale et des entraĂźnements +++ car câest ce qui est rĂ©ellement reprĂ©sentatif. Le cours va tâaider Ă aller chercher plus loin, Ă comprendre tous les dĂ©tails mais disons quâen tâentraĂźnant direct sur les QCM tu fais le gros du travail.0 points -
0 points
-
Un espoir?????
choucroute reacted to Cétone for a topic
Bien sĂ»r ! Je suis en LAS 2 comme toi, est tout est faisable ! 16.5 je trouve ça plus que correct. AprĂšs reste Ă savoir si tu situĂ© vers les premiers de ta promo, ou vers les derniers. Si tu es vers les 10% premier de ta promo tu risques d'avoir un lissage positif, et malheureusement tu es vers les derniĂšres tu auras un lissage plutĂŽt nĂ©gatif. Et oui, de ce que j'ai entendu, les chimies se font avoir avec le lissage mais t'inquiĂšte pas vaut mieux candidater maintenant que l'an prochain en L3 ou ça va ĂȘtre plus compliquĂ© en montant d'un niveau en plus. Aussi entre LAS2-3 on a constituĂ© un excel dans le but de se situer avant lissage, mĂȘme si je sais bien que le lissage peut faire perdre 40 places tout comme en gagner 40. VoilĂ Ă titre indicatif : https://docs.google.com/spreadsheets/d/1HXbb2qA7fwhYlQVS0u3V-xTtYyVyzcYeGBlnhpZzel8/edit?usp=sharing0 points -
Salut !! Pour t'aider Ă bien visualiser les 5 rapports temporo-mandibulaire tu peux regarder ces vidĂ©os : L'ATM est le DĂ©placement du Disque, Animation Anatomie de l'Articulation Temporo-Mandibulaire (ATM) Temporomandibular Joint (TMJ) Anatomy | 3D Anatomy Tutorial | UKMLA | CPSA | PLAB 2 Ces vidĂ©os vont pouvoir te permettre de mieux visualiser l'articulation en elle mĂȘme ainsi que ses mouvements associĂ©s. Ensuite, tu peux aussi aller regarder dans le poly du TAT dans la librairie, plus prĂ©cisĂ©ment le tome 1 d'odontologie afin de pouvoir t'aider encore mieux Ă visualiser ces 5 rapports. En espĂ©rant avoir pu t'aider !! Bon courage !0 points
-
Immuno-analyse
Joan_bcs reacted to Loulou1777 for a topic
Salut, est-ce que quelquâun pourrait mâexpliquer comment on lit ce genre de graphique en prenant en compte les seuils de positivitĂ© parce que je me mĂ©lange un peu https://ibb.co/YFKVVTkx0 points -
QCM Moodle
ayaettz_ reacted to The.faufau for a topic
Salut, alors perso jâavais pris pas mal de temps lâannĂ©e derniĂšre pour faire les QCMs que le prof avait mis, mais il y en a beaucoup et au bout dâun moment, tu as un peu fait le tour. Et oui câest Ă peu prĂšs le niveau et le genre de questions que le prof vous mettra au concours, enfin du moins câĂ©tait comme ça lâannĂ©e derniĂšre. Personnellement, je te conseille de prendre le temps de faire un peu, mais ne te stresse pas Ă tous les faire, parce que tu vas tourner en rond bout dâun moment :)0 points -
[ERRATA COLLE NÂș3] - Chimie organique
L'Electron_Augé reacted to gnocchi for a topic
Ok je crois que je risque de le retenir parce que à la base je pensais que c'était de l'éthanol puis ensuite j'ai cru que c'était de l'ethénol et mais en fait c'est juste de l'ethyle. Ah okk ça m'aide bcp mercii en tout cas !0 points -
majeure droit
Liaae4 reacted to matthieucaryote for a topic
Non malheureusement pour la LAS1 je ne sais pas. Mais le meilleur conseil que je puisse te donner c'est de te donner à fond sans te poser de questions sur le reste et comme ça le lissage ça sera que du bonus pour toi.0 points -
Question pharmacocinétique
emeline01 reacted to lucil_e_tubaire for a topic
Recoucou, Tout dâabord les « barres » câest pour dire en valeur absolue : si tu obtiens dQ/dt nĂ©gatif, en valeur absolue il passe en positif (câest pour ça que -kQ = kQ avec la valeur absolue) Et oui câest ce que veut dire la formule, la vitesse suit une cinĂ©tique dâordre 1 donc = dQ/dt = k * Q (je te renvoie Ă ton cours de cinĂ©tique chimique, tu retrouveras la meme formule prĂ©sentĂ©e juste un peu diffĂ©remment !) JâespĂšre que câest plus clair, sinon nâhĂ©site pas comme toujours !!0 points -
Salut T'as raison par rapport à la progestérone elle attire bien les spermatoizoides mais elle le fait au niveau de la trompe. Et au niveau de la glaire cervicale ce n'est pas la progestérone qui régule la taille des mailles de la glaire mais l'imprégnation en eau directement lié a l'imprégnation en oestrogenes. Plus les fibres sont hydrates plus les mailles sont larges J'espere que mon explication est claire Bonne journée0 points
-
chimie orga
L'Electron_Augé reacted to elec for a topic
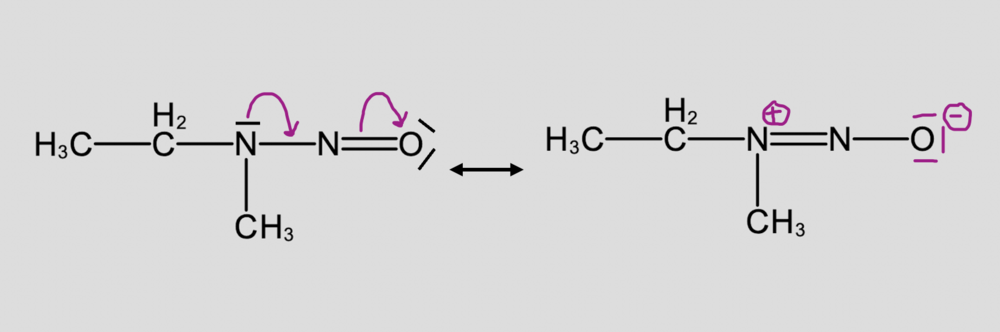
Hello @khatabi ! Cette forme est bien juste. Je vais t'expliquer pourquoi ce n'est pas possible que le N prenne un - et le O un + : - premiÚre maniÚre de voir les choses : un O en bout de chaine est mésomÚre attracteur : il attire les électrons vers lui, donc plus de chances qu'il prenne une charge -, et un N en milieu de chaßne est mésomÚre donneur, donc plus de chance de prendre une charge + - sinon une autre maniÚre de voir les choses, c'est que le N a une configuration 2s22p3 : ce qui signifie qu'il ne peut faire que 3 liaisons (avec les 3 électrons celibataires de la couche p) et éventuellement une 4e avec son doublet non liant (de la couche s). S'il portait un - sur la molécule de droite, alors ça voudrait dire qu'il ferait 4 liaisons et qu'il aurait un doublet non-liant en plus : ce n'est absolument pas possible et ça n'existe pas ! Je t'ai représenté ci-dessous les mouvements d'électrons avec les doublets non-liants pour que tu comprennes comment ça marche : Ici, en déplaçant le doublet non-liant du N, on crée un déficit en électron, qui crée cette charge + J'espÚre que c'est plus clair pour toi, sinon n'hésite pas si tu as d'autres questions et bon courage !0 points -
Salut ! Je pense que les master de mention SMPS correspondent trĂšs bien Ă ton profil. Pour ça : Master parcours Essais cliniques & pharmacoĂ©pidĂ©miologie Pour ça : Master parcours ModĂ©lisation pharmacocinĂ©tique / pharmacodynamique (PKPD) Je ne suis quâen M1 dĂ©rogatoire mention SMPS (avec lâobjectif de poursuivre en M2 ModĂ©lisation PK/PD Ă terme), donc mĂȘme si jâai une UE commune avec le M1 SMPS, je ne peux pas trop tĂ©moigner. En revanche, je te conseille de checker les Moodle des diffĂ©rentes mentions de master : Moodle M1 Mention SMPS Moodle M2 SMPS Mention Essais cliniques Moodle M2 SMPS Mention PK/PD Bonus : Vu que t'as un projet de thĂšse, je te mets le lien d'une thĂšse Toulousaine qui aborde la modĂ©lisation PK/PD dirigĂ©e notamment par le Pr. Chatelut (que tu dois bien connaitre si tu es passĂ©e par une PASS), responsable du cursus PK/PD.0 points
-
0 points
-
Merci, vu que c'était un cours d'UE 8 je cherchais dans le poly UE 8 Merci encore @Toto_tfc!!0 points
-
Tracker de cours S1 - PASS (mis Ă jour 19/09/25)
MensSanaCorporeSano reacted to Layyy for a topic
Bonsoir, Cela mâa Ă©norment aidĂ© pour le S1, merci beaucoup ! Est-ce quâil y en a un pareil pour le S2 ? merci beaucoup0 points -
Besoin de soutien moral
Ăa_PASS_ou_ça_casse reacted to TiBin for a topic
Salut ! DĂ©jĂ câest normal de ne pas se sentir bien ne tâinquiĂšte pas yâa je pense 80% de la promo qui doivent se sentir nul en ce moment. Ce quâil faut que tu retienne pour lâinstant câest que tout ce que tu as fait nâa pas servi Ă rien : tu tâes construit de lâexpĂ©rience, une discipline bien meilleur que 99% de la population. LâexpĂ©rience que tu as acquise va te servir dans ta vie ! Et puis mĂȘme tu es mĂȘme pas Ă 1 point du 300eme jâen suis sĂ»r que tu peux y arriver ! Vraiment câest trĂšs mais alors trĂšs loin dâĂȘtre terminĂ©e pour toi car jâai vue des remontada de 10/20 au s1 sur le forum alors toi avec 3 point de plus câest franchement pas mal ! Dit toi que yâa des gens qui vont se reposer sur leur laurier, dâautre qui vont pas prendre au sĂ©rieux leur mineur. Tout nâest franchement pas perdu Câest dans la tĂȘte alors donne tout pour rien regretter ! Bon courage0 points -
QCM techniques dâĂ©tudes de lâADN, plasmides
Filouu reacted to An-Schwann for a topic
Si vous recroiser le QCM, pouvez vous le signaler comme ca je modifie lâĂ©noncĂ© pour que ca soit plus clair (la prof piĂšgera pas sur ca)0 points -
Beta thalassemie
An-Schwann reacted to Batman_sans_Robin for a topic
Coucou @edy-pass ! On va en ajouter rapidement pour le poly ne t'en fais pas !! Et aprĂšs vous en aurez plein dans le poly du printemps !! Ainsi que l'eb0 points -
Nucléophile, Sn
L'Electron_Augé reacted to fannYttrium for a topic
Coucou, alors une SN2 est favorisée part un nucléophile chargé et peu encombré comme par exemple (OH-, CN-) en SN1 la nature du nucléophile n'a pas trop d'importance comme il n'intervient que lors de la 2Úme étape et que c'est la 1Úre qui est cinétiquement déterminante.0 points -
Mineure maths
Miss-HbA1c reacted to Rayanodipine for a topic
Coucouuu @Miss-HbA1c !! Je ne vais pas te cacher que la mineure est assez dense, mais tktt, plusieurs personnes que je connais ont rĂ©ussi Ă passer en P2 en ayant cette mineure, voire mĂȘme Ă ĂȘtre GA ! La moyenne en informatique est basse chaque annĂ©e ;de mĂ©moire, celle de 2024 Ă©tait autour de 4. Pour notre annĂ©e, je nâai pas le chiffre exact, mais on Ă©tait plutĂŽt aux alentours de 8-9. Cela dit, le lissage est gĂ©nĂ©ralement positif ! Tu peux venir en permanence ce jeudi pour me poser toutes tes questions, et jâessaierai de tâexpliquer au mieux le fonctionnement de cette mineure en te donnant mes conseils. En attendant, je tâinvite Ă lire ce tĂ©moignage dĂ©taillĂ© (que tu trouveras dans le guide des options), qui pourra tâaider Ă avoir quelques informations : https://docs.google.com/document/d/11gU7NcgFnCmyWtM9Q_h_RA6rQ94zAHE85Z7sd-qS_VI/edit?usp=drivesdk Je vous conseille aussi de crĂ©er un groupe entre vous (vous pouvez demander sur le groupe discord de lâinfo pour avoir les nums de toutes les personnes ayant cette mineure, je suppose que la prof ne dira pas non) afin de pouvoir vous entraider. Pour maths-fonctions, câest quasiment la mĂȘme chose chaque annĂ©e, donc je te conseille de bien travailler les annales. Pour outils-maths, comme câest une sous-mineure commune Ă plusieurs mineures, tu trouveras pas mal de tĂ©moignages, de conseils et de ressources. Voila voilĂ !! NâhĂ©site pas Ă mâenvoyer un message en privĂ© si jamais tu as des questions. Bon courageeee0 points -
0 points
-
Colle QCM 2
ju.gulaire reacted to Batman_sans_Robin for a topic
Coucou @GlYcine ! Je vais essayer de te rĂ©expliquer. On cherche Ă diffĂ©rencier pJAX pJAXPOMNI et PJ, sachant qu'on a intĂ©grĂ© l'ADNc de la VFP par Hindlll. En utilisant ecor1 et blg 1 on veut les diffĂ©rencier. En fait tu vois qu'en coupant sur ces sites de restrictions (donc ecor1 et blg1), chez pJAX-POMNI on aura 2 trait sur l'Ă©lectrophorĂšse : 1 de 910-610 =300 et un de 5800 - 300 =5âŻ500 pdb qui correspondent au plasmide coupĂ©. On fait pareil avec les autres, pour pJAX il n'y a pas de blg1 donc il n'y aura qu'une coupure en ecor1 donc un seul trait Ă 5140 pdb car on aura pas enlevĂ© de morceau Ă proprement parler du plasmide. Ensuite pour pPJ, il n'est pas dessinĂ© mais on sait que l'ADNc est dans le sens inverse de pJAX-POMNI. Donc blg1 est plus loin de ecoR1 (car su pPOMNI blg1 est 260 pdb du Hindlll avant lui et 400 du hindlll, sur pJAX ecor1 est proche de hindlll donc si on chnage le plasmide de sens il s'Ă©loigne). Alors on coupe avec ecor1 on a un morceau de 440 pdb et un de 5800-440 =5âŻ360 pdb (1150-490 =660, 5140 + 660 =5âŻ800, 5800 - 340 =5âŻ360). Est-ce que c'est plus clair ou pas du tout ? N'hĂ©site vraiment pas on est lĂ pour ça0 points -
vocabulaire anatomie
phosphatidylcoco reacted to An-Schwann for a topic
Oui le prof a changĂ© lâannĂ©e derniĂšre et ces attentes et les QCM quâils posent sont assez diffĂ©rent que ceux dâavant donc basĂ© vous vraiment sur lâannale de lâannĂ©e derniĂšre0 points -
technique ADN
An-Schwann reacted to apidé for a topic
ok ok merci beaucoup @Androma:) jâai bien compris! et tqt tes dessins sont bien clair!0 points -
0 points
-
0 points
-
biologie vegetale
Ăa_PASS_ou_ça_casse reacted to Batman_sans_Robin for a topic
Coucou @RParks ! Perso je regardais les vidĂ©os en x2 en utilisant des cours tapĂ©s de drives. Mais j'ai entendu pas mal de gens qui ne regardaient pas les vidĂ©os ! Ă toi de voir, si tu penses que regarder la vidĂ©o est une perte de temps alors utilise que le cours. Cependant je pense que les diapo n'ont pas exactement toutes les informations, et manque parfois d'explication. Je te conseillerai de te tourner vers les drives plutot pour ĂȘtre sur de ne pas manquer d'informations. Bon courage0 points -
0 points
-
QCM droit
apidé reacted to Daryanémie for a topic
Coucouuu @apidĂ© ! Je te t'avoue que ça c'est vraiment LE problĂšme de cette option : le manque de QCM. Personnellement je me marquais sur une feuille des questions qui me forçaient Ă apprendre la leçon et des des fiches pour apprendre les dates et infos importantes. AprĂšs si cela peut te rassurer, je trouve qu'en assistant aux visios, tu remarqueras que les professeurs mettent des accents sur certains endroits dans la leçon (c'est donc sur ces endroits lĂ que je mettais aussi un accents dans mes rĂ©visions). Sur un autre de tes posts je te l'ai dit mais je vais quand mĂȘme redire que les qcm qui mettent, mĂȘme si ils sont en petit nombre, ne sont pas Ă prendre Ă la lĂ©gĂšre car ils sont TRĂS reprĂ©sentatifs de ce qui Ă©tait Ă l'Ă©preuve (aprĂšs je ne peux rien garantir mais sache que ces profs ne sont pas lĂ pour piĂ©ger mais vraiment pour vous tester sur les connaissances plus qu'autre chose). Je t'avoue que je ne travaillais pas tout mon vendredi le droit, je me faisait quelques sĂ©ances dans la semaine (faire tout en un bloc me dĂ©motivais). Normalement si tu te divises bien le cours et que tu te l'organise petit Ă petit, tu as assez de temps pour l'Ă©tudier (mais ne t'y prends juste pas trop tard c'est tout). Perso je m'Ă©tais fixĂ© oĂč je devais en ĂȘtre chaque semaine dans le programme, de cette maniĂšre j'avais pu finir tranquillement le programme sans trop de stress. J'espĂšre avoir pu t'aider et n'hĂ©site pas si tu as d'autres questions !0 points -
Annales de droit et qcm
AnnaleAddict reacted to apidé for a topic
ok super merci pour ta réponse! bonne journée :)0 points -
anglais moodle
anaé.sthésie reacted to caro.tide for a topic
Salut @Rim_03! Je pense que si tu as vraiment le temps (et une passion pour l'anglais) tu peux faire les modules avancés, mais je ne pense sincÚrement pas que les QCMs à l'examen seront de ce niveau là . Le plus important reste les autres modules de grammaire (pas niveau avancé). N'hésite pas si tu as d'autres questions !0 points -
Acide au sens de Lewis
L'Electron_Augé reacted to jlve_ for a topic
Coucou OĂč as-tu vu que câĂ©tait une base de Lewis ? Il s'agit d'une erreur. En fait, HCL est bien un acide de Lewis. Petit rappel : Bronsted : Acide = donneur de proton (Hâș) Base = accepteur de proton Lewis : Acide = espĂšce possĂ©dant une case quantique (orbitale) vide, accepteur de doublet dâĂ©lectrons. Base = espĂšce possĂ©dant un doublet non liant, donneur de doublet dâĂ©lectrons. Dans le cas de HCl : Au sens de Bronsted, pas de souci : HCl donne un proton â acide. Au sens de Lewis, câest le proton Hâș libĂ©rĂ© par HCl qui est lâacide de Lewis (il possĂšde une case quantique vide). J'espĂšre avoir rĂ©pondu Ă ta question !0 points -
Dépression et PASS
francisco reacted to PauliNébuline for a topic
Salut @salmass739 DĂ©jĂ c'est super de venir nous en parler. Se rendre compte de son Ă©tat et ne pas rester seul face Ă cela c'est vraiment un grand pas dĂ©jĂ pour aller de l'avant. @TiBin et @catibel ont donnĂ© des conseils qui me paraissent pas mal du tout. Garde en tĂȘte que ta santĂ© est plus important que le reste. La dĂ©prĂ©ssion est une situation ou il est vraiment dur d'aller de l'avant pour accomplir ses objectifs alors essaie d'avancer Ă petits pas en prenant soin de toi. Cependant personne ici n'est psychologue ou psychiatre, je pense que ça pourrait vraiment t'aider d'avoir quelqu'un qui Ă les clĂ©s pour t'accompagner pour traverser cette Ă©preuve. Pour cela tu as le lien que t'as donnĂ© @An-Schwann ou tu peux aller voir directement le simpps au forum louis lareng (c'est le bĂątiment gris Ă cĂŽtĂ© de la station de mĂ©tro universitĂ© paul sabatier). En tant qu'Ă©tudiante tu as le droit Ă 12 sĂ©ances gratuites. C'est une Ă©preuve difficile mais dis-toi que tu n'en resortira que plus forte.0 points -
Isomérie et mésomérie QCM
Maribozyme reacted to L'Electron_Augé for a topic
Salut @Maribozyme, Pour le A il y a effectivement une erreur, l'insaturation du cycle est trop Ă©loignĂ©e du groupement carbonyle. Cela aurait pu ĂȘtre possible dans le cas de cette molĂ©cule : Dans le cas du A on est sur une structure C=C-C-C=O hors pour que la dĂ©localisation des Ă©lectrons se fassent il faut une structure C=C-C=O. La A est fausse Pour le D, c'est le mĂȘme problĂšme. L'insaturation est trop Ă©loignĂ©e du Cl pour que la dĂ©localisation puisse se faire. La structure propice est C=C-Cl. Hors ici la structure est C=C-C-Cl. La D est donc bien fausse Concernant l'autre QCM, je ne sais pas d'oĂč proviennent les QCM mais cela ne m'Ă©voque rien, en tout cas en UE11 pour ce second semestre. N'hĂ©site pas si tu as besoin de nouvelles explications. Bonne journĂ©e !!0 points -
Bonjour est ce que quelquâun a trouvĂ© comment accĂ©der aux cours de droit sâil vous plaĂźt ?0 points
-
Notes Seuils et Classement
PASSmoitesTips reacted to An-Schwann for a topic
Salut! Il nâexiste pas une moyenne gĂ©nĂ©rale des notes aprĂšs oraux ou avec des seuils, on a celle avant oraux si tu veux. (Seuil GA, et on a la note du 1er, 50Ăšme, 100Ăšme⊠avant lissage) je tag @Batman_sans_Robin et @Nentiqu qui me semble avoir une idĂ©e de la note du dernier pris post oraux pour mĂ©decine et dentaire respectivement0 points -
QCM odre 1/0
lucil_e_tubaire reacted to ju.gulaire for a topic
Ouaip je suis dâaccord câest bizarre⊠DâoĂč provient ce qcm ?0 points -
Alors en gĂ©nĂ©rale sur 25 qcms il y en a 14 sur la grammaire / 5 sur lâanatomie et / 6 sur la comprĂ©hension Ă©crite. Donc il y a la majoritĂ© sur la grammaire aprĂšs la conjugaison est importante mais ta aussi des qcms sur les formes comparatives et superlative (cheaper than / bigger thanâŠ), les pronoms ect.. Je dirais que pour la concours il faut tout rĂ©viser surtout que câest des notions qui sont assez simples Ă comprendre quand tu tây met un peu donc non pas dâimpasse sur les autres thĂšmes!!0 points
-
MINEURE BIOLOGIE SV
Batman_sans_Robin reacted to An-Schwann for a topic
Et il y a des annales et des drives sur ces postes0 points -
MINEURE BIOLOGIE SV
Batman_sans_Robin reacted to An-Schwann for a topic
En vrai pas nécessaire car vous allez revoir un par un différente classe, les questions qui peuvent tomber sur la premiÚre vidéo sont vraiment sur les bases0 points -
anglais moodle
.Lia. reacted to Chlo-rophylle for a topic
Salut salut, Si je me souviens bien l'an dernier le prof nous avait dit que la plupart des modules Ă©tait en bonus (a faire si on le souhaite mais pas forcement nĂ©cessaire). Personnellement je te conseil de rĂ©viser l'anatomie, c'est juste connaitre les diffĂ©rentes parties du corps humain, pas besoin d'entrer bcp dans les dĂ©tails, de t'entrainer un peu a la comprĂ©hension Ă©crite, une fois que t'as le truc c'est trql, les question sont assez simples. Et concernant la partie conjugaison, c'est assez complique a rĂ©viser si tu n'a pas dĂ©jĂ de solide base en anglais, essai de lire le poly d'anglais et de t'entrainer mais attention les corrections du prof sont parfois un peu confuse (un mĂȘme item vrai ou faux selon la correction, dĂ©calage, ect) Comme beaucoup, durant ma pass je n'ai presque pas ouvert un cahier d'anglais, j'ai lu 1 ou 2 fois le poly pour revoir la conjugaison mais c'est tout. J'avais dĂ©jĂ des bases assez solide en anglais donc ça aide mais mĂȘme sans ça c'est largement faisable mĂȘme si ca va demander un petit peu plus de temps. Vraiment ne te tracasse pas trop avec cette matiĂšre, tu auras (normalement) minimum 14 si le prof ne change pas son systĂšme. Le but sera juste de grapiller le maximum de point au dessus pour te dĂ©marquer, donc en ne cochant que si tu est sure de ta rĂ©ponse et pour ça les parties anatomie et CE sont les plus sĂ»re. J'espĂšre avoir pu t'aider un peu. Bonne journĂ©e !!0 points -
maths-fonctions absent de moodle ?
Rayanodipine reacted to nooradrénaline for a topic
Salutttt Les cours devraient bientĂŽt arriver sur moodle, ce n'est plus qu'une question de temps je pense. Par contre, en attendant tu peux toujours regarder dans les drives des Ă©tudiants des annĂ©es prĂ©cĂ©dentes, d'Ă ce que j'ai vu c'est toujours le mĂȘme poly et supports qui reviennent. Bonne soirĂ©e!0 points -
Bonsoir ! Alors personnellement je nâai pas vĂ©cu de dĂ©pression je pense en mĂ©decine mais jâai vĂ©cu surtout en dĂ©but dâannĂ©e une pĂ©riode oĂč câest vraiment dur mentalement. Par exemple de mon cĂŽtĂ© câest lâangoisse de ne pas rĂ©ussir ou de perdre du temps pour rien etc⊠Ăa peut ĂȘtre bateau mais pour tenir mentalement dans une Ă©preuve trĂšs difficile il faut se raccrocher Ă quelque chose, parfois Ă un but prĂ©cis voir journalier, par exemple moi je me raccroche Ă la vie que je pourrais avoir plus tard ou encore dĂšs que jâai rĂ©ussi Ă faire un rappel je me glorifie. Tu pourrais aussi essayer peut ĂȘtre un journal ou tu note tout les soir 5 choses pour lesquel tu es reconnaissant dans ta vie câest super utile pour petit Ă petit se recentrer sur le positif. Et Ă©videmment bien manger BIEN DORMIR et bien faire du sport car ça peut aussi venir accentuer. Et puis le plus important câest dâĂȘtre entourer dâamis ou de sa famille câest vriament ultra important. âSi vriament tu ressens du dĂ©sespoir il faut aller voir un psy en parallĂšle de tes Ă©tudes car trĂšs honnĂȘtement la santĂ© mental est 100 fois plus important que la PASS vraiment car quand mĂȘme le but de la vie câest dâĂȘtre heureux ! Je te souhaite tout le courage mais nâabandonne pas il yâa toujour une lumiĂšre au bout du tunnel0 points
-
Coucouu ! je voulais vraiment faire un tĂ©moignage sur cette las il me semble que il y en a pas pour cette las et jâaurais aimĂ© en avoir un perso puis c tjr intĂ©ressant Ă lire je vais aussi raconter un peu plus rapidement mon ressenti sur la pass et Ă la fin donner les chiffres au niveau des moyennes/ le lissage ect (ça sera + centrĂ© sur mon expĂ©rience si vous voulez les matiĂšres en dĂ©tail les cours ou mĂȘme les partiels/ annales nâhĂ©sitez pas Ă mâenvoyer un msg!) je pense que ça va ĂȘtre un peu long mdrr bonne lecture Orientation: (câest important pour la fin) Jâai tjr voulu travailler dans le mĂ©dical/ scientifique mĂȘme si je suis aussi bcp littĂ©raire. Jâai longtemps voulu faire mĂ©decin puis en me renseignant je mâĂ©tais rendu compte que câĂ©tait vraiment trop Ă©prouvant et long et que je me voyais pas ne pas avoir de vie sociale autant de temps. Je fais des recherches sur les mĂ©tiers mĂ©dicaux ect et je me suis donc penchĂ© sur pharmacienne jâai mĂȘme fait mon stage de 3 Ăšme dans une pharmacie. Mais je me rend trĂšs vite compte quâil faut aussi passer par la Paces Ă lâĂ©poque et ça me terrifiait.. Et en mĂȘme temps je dĂ©cide finalement de me pencher vers chirurgien dentiste puisque jâaimais bcp lâaspect manuel ect tt mâallais et rebelotte fallait passer par la paces mais je reste fixĂ©e sur cette idĂ©e donc pendant 5 ans jâai vrmtn mon projet dâorientation clair et net je veux ĂȘtre dentiste et RIEN dâautre PASS: avec la rĂ©forme pass/ las jâhĂ©site Ă aller en las je me dit que yâa enfin une alternative Ă la pass mais au final je prend pass sur parcoursup jâai mis toutes les options Je comptais pas aller en las2 si jâĂ©chouais je me voyais pas perdre un an jâavais dit que jâirais jamais (lol) Mais je prend quand mĂȘme une mineure stratĂ©gique ne serait ce que pr le S2 puis je reste quand mĂȘme littĂ©raire en plus de scientifique donc ça me dĂ©range pas JâhĂ©site entre philo socio shs et sdl (dont je dĂ©couvre lâexistence sur le moment) Je fini par prendre sciences du langage S1: alors ça dĂ©marre avc la prĂ© rentrĂ©e le 22 aoĂ»t 2022 exactement je suis grave intĂ©ressĂ© par les cours quâon dĂ©couvre mais je remarque trĂšs vite que tt le monde est hyper sĂ©rieux et investi et je me sens trĂšs stressĂ©e jâai une collĂšgue avc moi que je connais du lycĂ©e donc ça va Les cours commencent ça va hyper vite mais je suis trĂšs motivĂ©e sauf que je me rend rapidement compte que ma mĂ©thode de travail est nulle au dĂ©but jâessaye la mĂ©thode des J ça marche pas yâa bcp trop de cours Je dĂ©cide donc de faire une mĂ©thode des J remixĂ©e et câest pas mal sauf que je passe 2 h sur les cours et jâarrive pas Ă revoir les anciens mais jâarrive quand mĂȘme Ă retenir pas mal de chose Seul pb je fais casi pas de qcm pck je me disais jâattend de voir les cours 3 fois Ă peu prĂšs sauf que je lâes voyais que 1/2 fois bref ça commence Ă ĂȘtre la cata ça sâaccumule⊠En novembre trĂšs gros stress le concours approche et je tente le tout pour le tout je redouble dâefforts câest hyper dur mentalement pck jâai lâimpression de rien connaĂźtre mais je refuse dâabandonner ET LA le jours du concours le pire arrive JâARRIVE EN RETARD le premier jour du premier concours au S1 de la premiĂšre Ă©preuve dĂ©jĂ les embouteillage et en plus je me trompe de route jâarrive 5 MINUTES en retard mais malheureusement câest trop tard lâĂ©preuve a commencer la dame Ă lâentrĂ©e me dit que je peux vraiment pas rentrer jâai donc 0/20 Ă lâUE1 donc en Chimie biochimie et genome sur le moment jâai 0 rĂ©action je me dit que câest le destin (je crois bcp au destin) et que pttr que yâa un bien dans ça puis que câest trop tard de toute maniĂšre mais jâabandonne pas quand mĂȘme je peux passer le reste mais je suis deg quand mĂȘme jâai lâimpression dâavoir rĂ©viser pr rien Jsui chamboulĂ©e jâarrive pas Ă ĂȘtre concentrĂ©e Ă 100% mais ça va rĂ©sultats -S1: du coup forcĂ©ment Ă©liminĂ©e je dois aller aux rattrapages je mây attendais mtn nouvel objectif LAS2 S2: Je dĂ©marre le S2 gigaaaaa motivĂ©e et ça marche je revois tt la mĂ©thode je fais tjr mĂ©thode des J remixĂ©e mais lĂ jâarrive Ă revoir Ă©normĂ©ment de fois les cours je fait Ă fond annale et QCM et ça glisse les matiĂšres sont bcp plus intĂ©ressantes et je sais que jâai pas le droit Ă lâerreur jâai dĂ©jĂ le S1 aux rattrapages Mais cette fois ci je me donne plus de temps jâai regardĂ© les 11 saisons de shameless pdnt le semestre pepite je rĂ©visais que pr avoir la rĂ©compense de regarder ça le soir En plus jâavais pas la pression de devoir avoir une bĂȘte de moyenne 10 suffisait mais je pense que vous savez quâen pass mĂȘme un 10 faut aller le chercher puis on peux pas savoir combien on aura donc faut rĂ©viser un max quand mĂȘme au final jâai aussi ma mineure Ă cĂŽtĂ© qui est assez intĂ©ressante a lâapproche du concours mini burn out je remet tout en question jâai lâimpression de pas voir le bout du tunnel je me dit que je fait pttr ça pr rien je venais de revoir tout le S2 donc environ 96 chapitres en 5 JOURS (a lâheure dâaujourdâhui jsai mĂȘme pas comment jâai fait) mon cycle de sommeil Ă©tĂ© dĂ©calĂ©e je dormais Ă 6h du matin je me rĂ©veillais Ă 14/16 h fin bref jâen pouvais plus puis aprĂšs je fais que des annales et qcm mais je stress je me dit que mĂȘme si jâai mon S2 il manque la mineure il manque les rattrapages puis touteeee la LAS2 câest trop incertain et loin jâen peux plus rĂ©sultats du S2 : je valide avc presque 13 de moyenne 12,88 un truc comme ça je suis fiĂšre de moi quand MĂȘme CCL: je valide aussi mes rattrapages et donc je valide ma pass et je vais en LAS2 petite victoire aprĂšs cette annĂ©e qui mâa tuĂ©e surtt mentalement haha LAS2: Alors en entrant Ă Jean JaurĂšs la rentrĂ©e est fin septembre donc je reviens de longueee vac dâĂ©tĂ© qui mâont fait grave du bien jâai redĂ©couvert la vie sociale et je suis hyper motivĂ©e puisque malheureusement je me vois pas du tout continuer dans cette licence jâai vraiment sacrifier mon avenir pr le concours soit jâai qqchose soit câest fini je savais pas quoi faire si ça marchais pas donc: pas le choix de rĂ©ussir Puis au delĂ de ça meme si je me rĂ©orientais en L1 rien ne me plaisait câĂ©tait le medical ou RIEN et sincĂšrement jâai cherchĂ© des alternatives mais rien ne me plaisait mĂȘme le paramĂ©dical puis jâĂ©tais bornĂ©e sur dentaire jâavais mĂȘme dit que si jâavais medecine je refusais on Ă©tait 14 LAS2 du coup en arrivant je pensais quâon Ă©tĂ© 4/5 (lol) Je pensais que ça va augmenter dâannĂ©e en annĂ©e mais ça sera jamais plus de 30 pck je crois yâa que 30 places que parcoursup S1: alors câest bcp moins intĂ©ressant que la mineure en pass jâaime PAS DU TOUT câest la dĂ©sillusion je sens que ça va ĂȘtre long yâa qlq cours intĂ©ressant mais bon Câest hyper abstrait mais ils attendaient du concret dans les partiels donc jâai passĂ© lâannĂ©e Ă perdre des points bĂȘtement et Ă souvent avoir 15 au lieu de 17 mais jâai quand mĂȘme eu des trĂšs bonnes notes JâĂ©tais donc trĂšs frustrĂ© pck je savais que je pouvais faire mieux mais je mâen sors pas mal je me fais 3 collĂšgue dont une qui est devenu mon amie trĂšs proche dâailleurs sa sĆur Ă©tait en LAS3 Ă Paul sab du coup elle comprenais la pression du concours et tt mĂȘme si elle Ă©tĂ© pas dedans elle mĂȘme rĂ©sultats du s1: une matiĂšre oĂč on a tous Ă©tĂ© choquĂ© la moyenne de la promo ete a 6 jâai moi mĂȘme eu 9 et câĂ©tait coeff 7 ça me plombe totalement la moyenne gĂ©nĂ©ral je fini a environ 15 mais de justesse je commence Ă stresser et Ă me dire que je dois tout donner au S2 (mais encore un plot twist sinon câest pas drĂŽle..) en plus les partiels se divisent en partiel de mi semestre et partiel de fin de semestre en gros tu dois h24 ĂȘtre Ă jour Je revoyais souvent les cours et jâassistais Ă tout les cours/ TD(oui jâai quand mĂȘme sĂ©chĂ© des fois) En vrai tout le temps des TD enft puisque on Ă©tĂ© en groupe dans des salles de classes (je prĂ©fĂšre les amphi gt deg Mmdr) S2: AprĂšs une semaine de pause environ aprĂšs les partiel mĂȘme pas je crois on reprend bon nouvelles matiĂšres qui ont lâair dâĂȘtre un remix du S1 mais plus abordable mtn quâon a vu le S1 comme phonĂ©tique (ou on sâest casi tous plantĂ©) qui est « remplacĂ© » par phonologie donc mtn on sâest appropriĂ© lâalphabet phonĂ©tique un peu ect câest mieux mais bon ça mâintĂ©resse tellement pas jâen avais trop marre mdrr jâavais besoin de ma dose de science Heureusement on avais une matiĂšre appelĂ©e pathologie du langage on revoyais un peu de schĂ©ma du cerveau ect ça faisais du bien haha Je mâorganise pareil je revois rĂ©guliĂšrement les cours ect les partiels de mi semestre se passent grave bien jâai + de 16 dont des 20 et 18 aussi partout Ă peu prĂšs je me dit que câest bon comparĂ© au S1 ou je mâĂ©tais + plantĂ©e SAUF QUE les partiels de fin de semestre arrive et lĂ vers mars je commence Ă me sentir trĂšs faible fatiguĂ©e je pars souvent en plein milieu des cours pck je sens que je vais faire un malaise donc je vais boire ou manger du sucre ou sinon je reste mais jâavais du mal Ă suivre ça commençais Ă devenir pesant Une fois je quitte un cours plus tĂŽt pck pareil Ă deux doigts du malaise alors que je lâavais bien tapĂ© en entier et tt du coup jâai du le rattraper chez moi fin ça commmence a me pĂ©naliser et je comprend pas surtt pk jâai ca en avril pendant la pĂ©riode de rĂ©vision de partiels finaux je tombe malade ça dure 1 semaine et demi ( on avais que 2 semaine de rĂ©visions) Jâarrive plus a avaler je fais que vomir bref jâĂ©pargne les dĂ©tails mais je souffre donc je peux rien rĂ©viser une fois « guĂ©ri » je me met au travail je me rend compte que yâa trop de chose pr si peu de temps alors que mes partiel de fin de semestre comptent pr 70% de la note final et les semi comptait que pr 30% (pr la plupart en tt cas les gros coeff) Je panique je me sens trĂšssss faible mais je fais ce que je peux on reprend les cours jâai notamment le partiel de mon option dâanglais et la touteeeee la semaine jâai la nausĂ©e câest Ă dire que je suis Ă deux doigts de vomir partout dans le mĂ©tro en classe ect Je passe ma vie Ă prendre des anti vomitif et mĂȘme comme ça je dois me concentrer pr pas vomir bref câest un cauchemar (Moi qui comptais rĂ©viser lol) En plus je sais tjr pas ce que Jâai jâĂ©pargne les dĂ©tails mais du coup jâenchaĂźne les rdv mĂ©dicaux prises de sang ect les traitements rien ne marche et je commence Ă avoir peur Pendznt mon partiel dâanglais je commence Ă me dire ok là ça va pas leve toi rend la copie mais je rĂ©alise les consĂ©quences dâun zĂ©ro et je me dit que dans ce concours tout peux se jouer Ă 0,1 surtt pr le lissage ect donc je le fait en entier mais ct horrible Arrive le week-end Ă la fin de cette semaine atroce et jâai partiel mardi de 2 matiĂšre coeff 7 donc les plus importantes + jâai un dossier Ă rendre qui compte pour 60% Je le fini presque et je rĂ©vise ça va Le lendemain rebelotte je vomi tt la journĂ©e jâai des courbatures Ă©normes fin bref la cata je peux mĂȘme pas bouger de mon lit ni me faire a manger par manque de force donc je mange aps puis de toute façon je vomis donc bon les partiels sont dans 2 j mtn (on est dimanche câest mardi) je me dit que je rĂ©viserais lundi Lundi arrive et lĂ je me dit que enft je pense mĂȘme pas pouvoir y aller comment je vais me dĂ©placer jusquâĂ la ba prendre le mĂ©tro ect?? jâhĂ©site Ă envoyer un mail pr expliquer mais je me dit que encore une fois je joue le mĂ©tier de mes rĂȘves je peux pas tout gĂącher ça ira mieux demain Jâessaye de rĂ©viser comme je peux Jour j: jsp comment mais jâarrive Ă me lever ça va ect mais je suis un peu malade quand mĂȘme Ă©videmment je prend un anti vomitif devant la salle Pck a 2 doigts de vomir et jâenvie les gens je me dit purĂ©e la chance de vivre sans avoir Ă se prĂ©occuper de vomir () et seulement stresser pr lâexamen Au final ça va je passe les exam je suis un peu frustrĂ©e de tout ça mais je donne ce que je peux mais je sais que jâaurais pu faire tellement mieux Puis au bout de presque 2 mois je dĂ©couvre que tout ça câĂ©tait la mononuclĂ©ose jâai passe le reste des partiels aussi un peu malade a bout de force avec une tĂȘte de cadavre littĂ©ralement mĂȘme le mĂ©decin Ă©tait choquĂ© que jâai tenu autant de temps comme ça rĂ©sultats s2: au final jâai quand mĂȘme rĂ©ussi Ă avoir des bonnes notes mais malheureusement câest pas trop suffisant pour remonter le s1 et jâai surtt une sale note en anglais (je pense que çâetait mĂȘme pas la maladie la elle notait juste hyper severement) Il y a aussi pix qui me baisse a chaque fois vraiment le vasy lui des matiĂšres Je fini avec un peu plus de 15 a lÂŽannĂ©e je suis degoutĂ©e jÂŽai le sentiment que mon S2 mÂŽa Ă©tĂ© un peu gachĂ©e mais bon je trv pas dÂŽexcuse cÂŽest la vie Avec lissage je monte a 16 et quelque et je crois que toutes les autres a peu prĂšs de ma promo on entre 15,5 et 17 pttr jsp? Globalement le lissage a Ă©tĂ© positif perso jâai pas gagnĂ© tant que ça mais je crois que le max câĂ©tait 18 passĂ© et yâa eu des GA du coup AprĂšs je comprend que oui UT2 a globalement eu un lissage positif mais sincĂšrement je pense quâil Ă©tĂ© pas exagĂ©rĂ© pour notre licence en tout cas puisque ça restais compliquĂ© dâavoir des bonnes notes partout les professeurs enlevaient Ă©normĂ©ment de points pour des dĂ©tails ou des formulations qui leur convenaient pas et comme il fallait ĂȘtre prĂ©cis mais que câest pas des sciences exactes comme les maths par ex câest compliquĂ© je trouve Apres malheureusement je sais que le lissage a portĂ© prĂ©judice Ă plus dâun jâen suis vraiment dĂ©solĂ©e.. CCL: au final jâĂ©tais dans le numerus dentaire et mĂ©decine avanr oraux jâĂ©tais environ 120 eme avc 16,30 et qlq de moyenne apres oraux je perd +30 places ( je me suis vraiemnt louper au premier jâai bĂ©gayĂ© a cause du stress au dĂ©but yâa mĂȘme eu un blanc mdrr) Alors que je suis hyper Ă lâaise Ă lâoral de base et mon scĂ©nario Ă©tĂ© pas trop rĂ©aliste sur la fin (jâai dit ce qui me passait par la tĂȘte mdrr) jâai mieuc rĂ©ussi le 2 eme mais au final ça mâa fait un 13 qui comptais pr 30% de la note Je suis donc descendu Ă 15,45 et jâai fini Ă peu prĂšs si on compte les GA 160/340 ou jsp sur combien au final avc tout les Ă©liminĂ©s Jâai donc eu pharmacie kinĂ© et maĂŻeutique et faut savoir que jâai tjr adorĂ© baby boom ect fin vraiment dans mon entourage on me disais tout le temps pk tu fait pas sage femme et ce qui me bloquait câĂ©tait vraiement le salaire pr moi qui etait pas Ă la hauteur de cette magnifique profession et le fait que câĂ©tait h24 Ă lâhĂŽpital puis jâai dĂ©couvert quâon pouvais ĂȘtre en libĂ©ral et que Ă partir de cette annĂ©e la rĂ©forme sâapplique câezt mtn un doctorat donc bac +6 Jâai eu qlq semaines pr rĂ©aliser que jâaurais sĂ»rement pas dentaire que jâavais ratĂ© les oraux et jâai acceptĂ© que câĂ©tait fini au dĂ©but câĂ©tait hyper dur puis enft comme je crois au destin je me dit que au final je suis pttr vraiemnt faite pr ĂȘtre sage femme et jâai pas voulu le voir toutes ces annĂ©es en restant butĂ©e avc dentaire Puis je me suis dit que jâĂ©tais hyper reconnaissante quand je vois le nombre dâajournĂ©e et de gens déçu jâaime Ă©normĂ©ment la filiĂšre que jâai eu et je suis trop contente de passer en 2 Ăšme annĂ©e de maĂŻeutique !! je suis donc fiĂšre quand mĂȘme de moi dâavoir tenu 2 ans et de pas avoir lĂącher cetait hyper Ă©prouvant mais ça a payĂ© CâĂ©tait hyperrrrrrrrrr long pardon en tout cas croyez en vous et surtt petit message pour les ajournĂ©s ou les gens déçu vous nâĂȘtes pas plus nul quâun autre!!! Câest le but dâun concours malheureusement on peux pas tous rĂ©ussir alors que juste pour avoir eu le courage de tenter on mĂ©rite de rĂ©ussir je vous envoie tout mon courage pttr que vous trouverez le bonheur ailleurs puis il existe des passerelles câest jamais fini si vous arrĂȘtez pas!! Je sais que câest hyper injuste mais câest le jeu on savais en rentrant MalgrĂ© tout je garde un « bon » souvenir dans le sens oĂč jâai bcp appris sur moi et câest enrichissant humainement voilĂ bisous!! Si vous avez des questions hĂ©sitez pas Ă venir en pv sur la las2 ou la pass ;) ou si vous avez besoin de parler peu importe quand vous lisez ça0 points
-
Carnet d'erreur?
Cathéterine reacted to Lulu_le_Fou for a topic
Bonsoir @POMME et @PASSofia Je vous vais donner un peu ma mĂ©thode du carnet d'erreurs, comment je faisais et tout, aprĂšs comme d'habitude c'est propre Ă chacun mais vraiment c'est une trĂšs bonne idĂ©e +++ Alors en gros je notais par matiĂšre Ă chaque fin de journĂ©e ou de semaine (un peu les deux), toutes les erreurs que j'ai fait sur les colles, annales, polys TAT... Les erreurs inattention je les notais aussi parce que ça coĂ»tait rien et je me dit que mĂȘme si c'est une erreur d'inattention, ça fait pas mal de réécrire et de revoir le concept, Je notais nĂ©anmoins pas les choses hors programme, Ce que j'Ă©crivais apparemment c'Ă©tait toujours des trucs vrais (jamais j'Ă©crivais un truc faux, jâarrivais pas Ă retenir) : en gros la correction de mon erreur Donc oui ça faisait un carnet trĂšs rempli et bien complet Ă la fin du S1 ! De mĂȘme pour le S2 ! Mais ça m'a tellement aidĂ© ++ pour ne plus refaire des erreurs de 1 et aussi ça me permettait de revoir de façon certes globale et plus ou moins prĂ©cise tous les cours ; Je m'explique : DĂ©jĂ Ă quelle frĂ©quence je lisais le carnet ? Tous les dimanches soirs avant la colle du TAT le lundi Tous les matins ou soirs des jours de la semaine de rĂ©vision (alors comme j'avais un carnet trĂšs long, je le lisais pas en entier chaque jour, mais une bonne partie) La veille de l'examen, j'ai tout relu de façon trĂšs concentrĂ©e parce que en soit c'est dans ce carnet oĂč sont vos faiblesses... Le fait de lire de façon approfondie, c'est Ă dire que je prenais du temps Ă recomprendre mon erreur et apprendre de celle ci, m'a permis enfaite aussi de revoir un peu tous les cours Ă chaque fois : en effet, je faisais des erreurs sur un peu tous les cours et donc par exemple quand je lisais deux pages, y'avait plus de 5 UE diffĂ©rents dessus avec une vingtaine de chapitres donc ça donne une certaine gymnastique rapide Ă ton cerveau pour passer d'une matiĂšre Ă l'autre, d'un cours Ă l'autre, d'un dĂ©tail Ă l'autre qui ont entre eux pas grand chose Ă voir : entre autres tu peux trĂšs vite faire un mini tour du programme Ă la fin du S1 en relisant ce carnet ;) (un peu comme Ă l'examen oĂč il faudra passer d'un QCM Ă l'autre assez rapidement...) AprĂšs je complĂ©tais ce carnet avec les posts its sur le mur, en gros j'Ă©crivais non pas les erreurs mais les choses que je nâarrivais pas Ă retenir (parce que y'avais des trucs j'avais beau Ă les revoir, ça rentrait pas donc je les ai notĂ©s sur mon bureau devant moi et je les lisais sans cesse et notamment Ă la veille de l'examen donc ça me permettait de jouer sur ma mĂ©moire Ă court terme pour ça) Vraiment ce genre de mĂ©thode est propre Ă chacun, certains ont rĂ©ussi avec mais aussi sans, toute est une question de comment tu gĂšres l'apprentissage de tes erreurs ;) VoilĂ j'espĂšre que ça vous aide un peu plus, Bon courage Ă vous0 points -
pseudo-cotylédon
GlutaMathieu reacted to Psykokwak for a topic
HolĂ ! Alors c'est normal d'ĂȘtre perdu sur cette notion, le prof passe trĂšs vite dessus et n'explique pas trop... On va commencer par un peu d'anatomie. Un placenta, c'est ça : Il est composĂ© d'une plaque choriale (face foetale, sur laquelle est fixĂ©e le cordon ombilical) et d'une plaque basale (face maternelle). L'espace entre les deux s'appelle la chambre intervilleuse (ou espace intervilleux, en rouge sur le schĂ©ma), elle est remplie de sang maternel. Le rĂŽle du placenta est de permettre les Ă©changes foeto-maternel. Pour cela, il faut mettre en contact indirect le sang foetal et maternel. Pourquoi indirect ? Parce que le placenta doit avoir un rĂŽle de filtration du sang : on parle de barriĂšre placentaire. Vous le verrez dans un prochain cours, je ne vais pas spoiler. Le sang foetal arrive au placenta par le cordon ombilical, puis passe dans les villositĂ©s. Une villositĂ©, c'est une excroissance qui part de la plaque choriale pour aller baigner dans l'espace intervilleux. Elle contient des vaisseaux sanguins embryonnaires puis foetaux, entourĂ©s de mĂ©senchyme extra-embryonnaires, de syncytiotrophoblaste et de cytotrophoblaste. Les diffĂ©rentes couches de tissu qui sĂ©parent le sang foetal et maternel (paroi de la villositĂ© + paroi des vaisseaux sanguins foetaux) correspond Ă cette fameuse barriĂšre placentaire. Les villositĂ©s, ce sont les excroissances roses sur le schĂ©ma. Tu peux voir qu'elles sont arborisĂ©es : en effet, les Ă©changes entre le sang foetal et maternel se font Ă travers la paroi de la villositĂ©, donc elles vont maximiser leur superficie pour faciliter les Ă©changes. Il y a deux types de villositĂ© : La villositĂ© crampon, dont le sommet rejoint la coque cytotrophoblastique (= cytotrophoblaste de la plaque basale) La villositĂ© libre, dont le sommet baigne dans l'espace intervilleux. Il ne faut pas confondre les villositĂ©s avec les cloisons inter-cotylĂ©donnaires (ou septas). Les cloisons inter-cotylĂ©donnaires sont des excroissances qui partent cette fois de la plaque basale (en orange sur le schĂ©ma). Leur rĂŽle est de sĂ©parer la chambre intervilleuse en plusieurs pseudo-cotylĂ©dons. Cela correspond Ă la lĂ©gende 6 sur le schĂ©ma, il est indiquĂ© "cotylĂ©don" mais le prof prĂ©fĂšre parler de "pseudo-cotylĂ©don". Pourquoi ? Parce que comme tu peux le voir, les cloisons inter-cotylĂ©donnaires ne vont pas jusqu'Ă la plaque choriale et ne sont donc pas Ă©tanches : le sang peut donc circuler entre les diffĂ©rents pseudo-cotylĂ©dons, ce qui permet d'Ă©viter les surpressions ! :) Tu l'as peut ĂȘtre remarquĂ© sur le schĂ©ma, mais comme ce sont uniquement des cloisons et qu'elles n'ont absolument aucun rĂŽle d'Ă©change, elles ne sont pas arborisĂ©es du tout ! Ensuite, par rapport Ă ton schĂ©ma, c'est une villositĂ© libre au dĂ©but de son dĂ©veloppement. Elle n'est pas encore arborisĂ©e, mais baigne dĂ©jĂ dans l'espace intervilleux (en rouge). A sa gauche et Ă sa droite tu peux voir des villositĂ©s crampon : on reconnaĂźt l'axe mĂ©senchymateux (en vert) de la villositĂ©, mais le cytotrophoblaste (en violet) qui les entoure se confond avec le cytotrophoblaste de la coque cytotrophoblastique (en haut) ! VoilĂ j'espĂšre que c'est plus clair pour toi ! HĂ©site pas si tu as plus de questions0 points
