Jump to content

Annale 2020-21 formations de savons hydrolyse alcaline


Go to solution Solved by Izaa,

Recommended Posts

Posted

Salut,

je ne comprends pas l’item D du qcm 28 de l’annale de biochimie de 2020-21, je croyais qu’il n’y avait que les TG qui avaient une réaction de saponification en presence de soude or la molécule dessinée n’est pas un TG (à moins que je me trompe) et du coup j’aurais voulu si possible qu’on me résume quelles AG faisaient des savons, lesquels faisaient des micelles et liposomes svppp ???

 

Merci d’avance pour vos réponses !!

  • Solution
Posted

Salut @Naëlatence, dsl pour la réponse tardif, mais enft la réaction de saponification ne se résume en effet pas qu'aux TG. Pour rappel, la réaction de saponification ou hydrolyse alcaline douce avec du NaOH (soude) ou du KOH (potasse) permet d'hydrolyser une liaison ester (R-COO-R') en un ion carboxylate (COO ) et un alcool (OH). Donc tous les liaisons esther des lipides sont sensibles à l'hydrolyse douce, à savoir:

 

- Les triglycérides : 
image.thumb.png.3b053c7dca8da7a085a012d1a773c18e.png

 

 Après hydrolyse alcaline, tu obtiens des sels d'acides gras (savons alcalins)+ un glycérol :

image.png.3dedba0519450f208df7f33ada7cc841.png + image.png.7a9cabd2f4d869951d53f611076b0055.png

 

-L'ester de cholestérol (molécule de cholestérol estérifié par un AG):

image.thumb.png.1b9d33134b7e3a419b5a8952a949d5a7.png

 

Après hydrolyse alcaline, tu obtiens un sel d'acides gras (savons alcalins)+ un cholestérol:

image.png.3dedba0519450f208df7f33ada7cc841.png+  image.png.359aab2c12b9fbc952c59624776f5a11.png

 

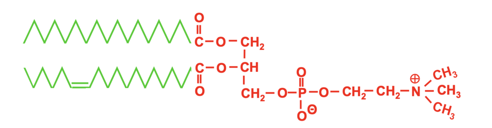
Pour la molécule du QCM, il s'agit d'une phosphatidylcholine, tu vois quelle a des liaisons ester qui relie les AG au glycérol donc après hydrolyse alcaline, tu as bien la formations de sels d'acides gras (qui sont des savons alcalins) + un glycérol-phosphate-choline .

 

image.thumb.png.18ff030cf5ee5991fa26f9c38f9a2c03.png

C plus clair pour toi??

 

image.png

dsl la dernière image est de trop, n'y tient pas compte!!!!!

 

et le cholestérol a bien un fonction alcool, il est en rouge pas en vert (dsl je me perd donc mon marquage couleur😅)

Posted

ouiii la règle s'applique pour tous les phospholipides sur leur liaisons ester!! Bon courage c bientôt la fin , ne lache rien 💪!!!!

 

 

Join the conversation

You can post now and register later. If you have an account, sign in now to post with your account.
Note: Your post will require moderator approval before it will be visible.

Guest
Reply to this topic...

×   Pasted as rich text.   Paste as plain text instead

  Only 75 emoji are allowed.

×   Your link has been automatically embedded.   Display as a link instead

×   Your previous content has been restored.   Clear editor

×   You cannot paste images directly. Upload or insert images from URL.

  • Recently Browsing   0 members

    • No registered users viewing this page.
×
×
  • Create New...