Jump to content

acide stearique


Go to solution Solved by MALOcclusionsphinctérienne,

Recommended Posts

Posted

salut, 

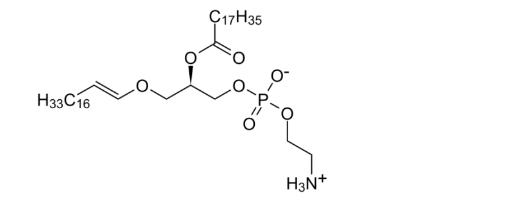
je voulais savoir pourquoi la C est compte juste? parce qu'il me semble qu'il n'a pas d'insaturation et pourtant on en voit une

 

 

A. est un aminophospholipide.
B. contient de l'acide élaïdique (C18:1).
C. peut libérer de l'acide stéarique après méthanolyse alcaline douce.
D. est le PAF-acéther.
E. est hydrolysable par action d'une phospholipase de type A1.

 

et une autre question est ce que pour les lipides comme par exemples les sphingomyeline, il faut retenir leur formule selon la nomenclature??

Screenshot 2023-12-07 20.25.37.png

  • Ancien Responsable Matière
  • Solution
Posted

La methanolyse alcaline douce va libérer les acides gras esterifiés. Donc ici, seul le composé en sn2 est un acide gras esterifié, seul lui sera libéré : l'acide stéarique. L'insaturation du sn1 indique qu'il s'agit d'un aldéhyde gras (car on voit une liaison ether avec le glycérol). L'insaturation du sn2 correspond à la fonction carboxyle de l'acide gras.

Pour les sphingolipides, il faut savoir quels composés peuvent être lié à la base sphingosine et ce qu'ils donnent comme lipides

Join the conversation

You can post now and register later. If you have an account, sign in now to post with your account.
Note: Your post will require moderator approval before it will be visible.

Guest
Reply to this topic...

×   Pasted as rich text.   Paste as plain text instead

  Only 75 emoji are allowed.

×   Your link has been automatically embedded.   Display as a link instead

×   Your previous content has been restored.   Clear editor

×   You cannot paste images directly. Upload or insert images from URL.

  • Recently Browsing   0 members

    • No registered users viewing this page.
×
×
  • Create New...