Naëlatence Posted November 29, 2023 Posted November 29, 2023 Salut est ce que vous pourrez m'expliquer comment équilibrer cette équation svp ? :MnO4- + H3O+ + NO2- —> NO3- + H2O + Mn2+ C'est surtout pour H3O+/H2O pouce qu'après avoir équilibre les demi-équations et multiplie par d'électrons échangés je ne sais pas par quoi multiplier H3O+/ H2O sachant qu'inca aucun électron échangé Merci d'avance pour votre aide ! Quote
Ancien Responsable Matière ilhamoxiciIline Posted November 29, 2023 Ancien Responsable Matière Posted November 29, 2023 Salut! Moi un truc qui m’a trop aidé pour équilibrer les équations c’est la fiche dans innovations pédagogiques dans la librairie (J’arrive pas à la mettre mais c’est dans librairie > IP > chimie > équilibrer une équation) En gros si t’as du mal avec les H3O+ équilibre d’abord avec des H+ puis tu rajoutes le même nb d’H2O de chaque côté :) nuCLÉotide, NIcotine and victor.atz 3 Quote
Solution victor.atz Posted November 29, 2023 Solution Posted November 29, 2023 Salut! J'ai retrouvé un post concernant ce QCM sur le tutorat, il pourrait peut être t'aider à mieux comprendre ! NIcotine, Enzodiazépine and Marie.S 3 Quote
Naëlatence Posted November 29, 2023 Author Posted November 29, 2023 Ah oui merci ! Je ne suis juste pas sure d'un truc, qd il ya le H2O et H3O+ qui sont donnés dans l'énoncé (dans la réaction qui n'est pas équilibrée ) est ce que je dois multiplier la demi équation par le nb d'électrons échanges pour les autres demi-équation du genre : demi équation (1) → 2e- échanges, demi équation (2) → 5e échangés donc on multiplie ( 1 ) par 5 et (2) par 2 et du coup j'ai multiplié la demi équation H3O+ / H2O par 10, je sais pas trop si mon explication est compréhensible mais en gros c'est ce que j'ai pas compris Quote
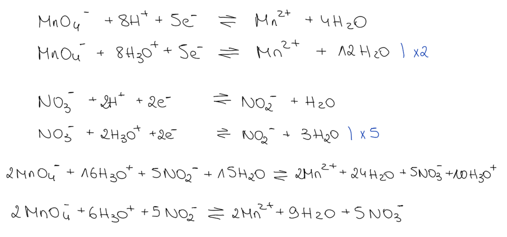
Marie.S Posted November 29, 2023 Posted November 29, 2023 Salut ! J'ai pas vraiment compris ce que tu ne comprenais pas mais peut être que ça va t'aider Sinon n'hésite pas Enzodiazépine, victor.atz, Lou_garou_land and 1 other 4 Quote
nuCLÉotide Posted November 29, 2023 Posted November 29, 2023 (edited) Salut ! En fait les H2O et H3O+ que tu vois dans la réaction non équilibrée de l'énoncé ne font pas partie d'un couple Oxydant/Réducteur ! Les couples sont ici MnO4-/Mn2+ et NO2-/NO3-, et ce sont eux qui réagissent ensemble. Les H2O et H3O+ viennent des demi-équations électroniques entre les deux couples que je viens de te citer, comme tu peux le voir sur la réponse de @Marie.S. Tu n'as pas de demi-équation H2O/H3O+ à faire ! Pour t'aiguiller, la réaction d'oxydoréduction va toujours se faire entre deux couples redox seulement. Ici ça voudrait dire que tu aurais trois couples qui réagissent ensemble , ce qui n'est pas possible ! N'hésites pas si ce n'est pas clair :) Edited November 29, 2023 by nuCLÉotide Enzodiazépine, Lou_garou_land, Naëlatence and 3 others 6 Quote
Naëlatence Posted November 29, 2023 Author Posted November 29, 2023 oui merci tres clair, c’est un truc un peu bête en vrai mais bon au moins je me poserai plus la question de ce que je doit faire avec H3O+/H2O du coup merci beaucoup !! nuCLÉotide and Enzodiazépine 2 Quote
Recommended Posts
Join the conversation
You can post now and register later. If you have an account, sign in now to post with your account.
Note: Your post will require moderator approval before it will be visible.