raPASS Posted March 11, 2023 Posted March 11, 2023 salut, je comprends pas comment on passe a 1/n+1 dans la derniere partie est ce que quelqu'un peut m'aider. Quote
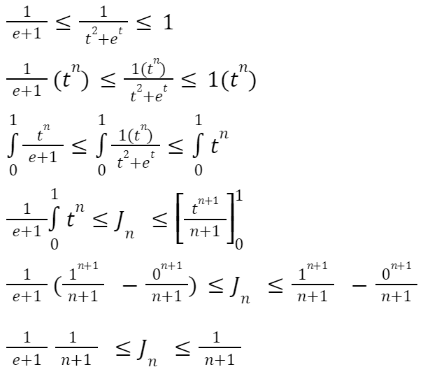
Ancien Responsable Matière Solution Movgde Posted March 11, 2023 Ancien Responsable Matière Solution Posted March 11, 2023 Salut @raPASS! En gros en aprtant de l’encadrement juste avant, tu multiplies par t^n, ensuite comme à gauche et à droite tes fonctions sont continues, integrables…., tu peux intégrer chaque partie de ton encadrement, comme ça au milieu tu te retrouves avec Jn, et a gauche et à droite avec deux intégrales que t’es capable de calculer (ce qui permet de faire apparaître les 1/(n+1) ). Quote
raPASS Posted March 11, 2023 Author Posted March 11, 2023 ah oui ok j'avais pas compris l'intégration merci Movgde 1 Quote
laurarginine Posted March 17, 2023 Posted March 17, 2023 Le 11/03/2023 à 12:47, Movgde a dit : Salut @raPASS! En gros en aprtant de l’encadrement juste avant, tu multiplies par t^n, ensuite comme à gauche et à droite tes fonctions sont continues, integrables…., tu peux intégrer chaque partie de ton encadrement, comme ça au milieu tu te retrouves avec Jn, et a gauche et à droite avec deux intégrales que t’es capable de calculer (ce qui permet de faire apparaître les 1/(n+1) ). Salut ! est-ce que ça te dérangerais de détailler un peu plus le calcul d'intégrale parce que je ne comprends pas comment on peut obtenir Jn au milieu, je m'explique : Je multiplie l'encadrement précédent par t^n puis j'intègre chaque partie de mon encadrement (là ok on a Jn au milieu) Sauf que (sauf erreur de ma part), l'intégrale de (1/e+1) * t^n et l'intégrale de t^n sont respectivement (1/e+1)*(t^n+1)/n+1 et t^n+1/n+1 Donc là j'imagine qu'il faut simplifier chaque membre par t^n+1 ce qui donne bien les bons membre à gauche et à droite. Mais au milieu si on divise Jn par t^n+1 on obtient plus Jn? J'espère que c'est clair Quote
Ancien Responsable Matière Movgde Posted March 17, 2023 Ancien Responsable Matière Posted March 17, 2023 Pas de soucis, le truc c'est que tu calcules pas juste la primitive, t'intègres entre 0 et 1 ! Donc ça fait "disparaître" le t^(n+1) @lauravioli laurarginine 1 Quote
laurarginine Posted March 17, 2023 Posted March 17, 2023 il y a 5 minutes, Movgde a dit : Pas de soucis, le truc c'est que tu calcules pas juste la primitive, t'intègres entre 0 et 1 ! Donc ça fait "disparaître" le t^(n+1) @lauravioli okkk c'est compris merci beaucoup! Movgde 1 Quote
Recommended Posts
Join the conversation
You can post now and register later. If you have an account, sign in now to post with your account.
Note: Your post will require moderator approval before it will be visible.