Midwiflower Posted February 19, 2023 Posted February 19, 2023 Bonsoir j’avais réalisé cet exercice mais depuis vendredi je n’ai pas trouvé de correction, est ce que quelqu’un voudrait bien me dire selon lui quelles sont les bonnes réponses s’il vous plait ? Mercii d’avance! https://zupimages.net/viewer.php?id=23/07/sef7.jpeg Quote
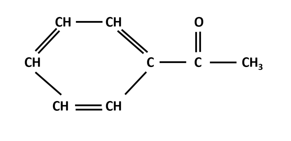
Ancien du Bureau Solution Lucky-LuK Posted February 28, 2023 Ancien du Bureau Solution Posted February 28, 2023 Salut @newPASS_31, Je ne suis pas un expert mais voila comment je pige ce QCM. Déjà on commence par s'imaginer quelle tête a la molécule. En général quand il y a autant de C que de H c'est qu'on a un cycle qui se cache qqpart. Le plus probable c'est que notre C8H8O ressemble à ça : Maintenant il faut vérifier que ce soit bien le cas grâce à la spectro : - 1 pic à 1700 => C=0 de type cétone - 3 pics entre 1300 et 1500 => C=C aromatiques - 1 pic à 1600 => C-C conjuguées - Pics en dessous de 1000 => C-H aromatiques - Pics au delà de 3000 => C-H sp3 Donc tout à l'air de coller, on peut commencer à répondre aux questions. Q41 : ça à l'air VRAI vu que ca concerne les C-C conjuguées comme le sont les C-C du cycle aromatique. Q42 : degré d'insaturation = nb de doubles liaisons + nb de cycles donc ici on a 4 doubles liaisons + 1 cycle donc le degré d'insaturation est bien égal à 5 => VRAI. Q43 : si on considère cela comme vrai on ne peut pas interpréter le pic à 1700, c'est donc FAUX Q44 : les bandes à 590 et 760 correspondent aux liaisons C-H aromatiques, or les liaisons CH sur un cycle benzène sont forcément dans le plan donc FAUX. Q45 : les esters ont 2 bandes à 1100 et 1300 ce qui n'est pas le cas. De plus le pic à 1700 est caractéristique d'une cétone donc c'est FAUX. Le mieux serait quand même de demander au prof pour être sur. J'espère que mes explications t'aideront quand même, n'hésite pas si jamais qqch n'est pas clair. futurmedecinaskip, Sashaperdu_au_bowling and Midwiflower 1 1 1 Quote
Midwiflower Posted February 28, 2023 Author Posted February 28, 2023 (edited) C ‘est vraiment suuuper merciii @Lucky-LuK! Edited March 3, 2023 by newPASS_31 Quote
Recommended Posts
Join the conversation
You can post now and register later. If you have an account, sign in now to post with your account.
Note: Your post will require moderator approval before it will be visible.