meresup Posted December 4, 2022 Posted December 4, 2022 (edited) Bonsoir, je fais le TD de métabo tranquilou bilou, et là je vois les QCM 25 et 26 qui sont basés sur la structure d'une molécule qui est le phosphoénolpyruvate, mais comment est-ce que je suis censée savoir que c'est le phosphoénolpyruvate. J'ai bien écouté ce que le Pr. Savagner a dit d'étudier et cette molécule ne figurait pas dans la liste mais comme c'est au TD, je me demande si je dois apprendre sa structure et donc toutes celles de la glycolyse. Est-ce que d'autres PASS pourraient confirmer que cette molécule n'est pas à apprendre? Vous pensez que ça vaut la peine que je pose la question à la prof? merci d'avance. Edited December 4, 2022 by Hrou Quote
Ancien Responsable Matière cpassfacile Posted December 4, 2022 Ancien Responsable Matière Posted December 4, 2022 il y a 5 minutes, Hrou a dit : phosphoénolpyruvate, alors perso j'ai jamais entendu parlé de ce truc demande a la prof ça coute rien, car c'est vrai quelle a nommé les réactions irréversibles à savoir mais pareil dans le TD j'avais l'impression qu'il fallait connaitre bcp de structures donc je ne sais pas trop .. Quote
Sylicium14 Posted December 4, 2022 Posted December 4, 2022 Salut, Selon moi, d'après ce que j'avais compris en cours il nous faut connaître les réactions irréversible. Et étant donnée que la transfo du phosphoénolpyruvate en pyruvate est irréversible je pense qu'il nous faut connaitre leurs structures mais je pense pas qu'on doit connaitre la structure de toutes les molécules de la glycolyse mais juste celles des étapes irréversibles. Je sais pas trop si c'est clair, mais après pour être sur tu peux tjrs demander Quote
Ancien Responsable Matière davidd Posted December 4, 2022 Ancien Responsable Matière Posted December 4, 2022 LES STRUCTURES PAS A CONNAITRES SAUF PYRUVATE ET LACTATE LE RESTE C'EST BON Quote
Ancien Responsable Matière cpassfacile Posted December 4, 2022 Ancien Responsable Matière Posted December 4, 2022 @davidd elle a pas dit qu'il fallait connaître oxaloacétate, citrate et tt ? Quote
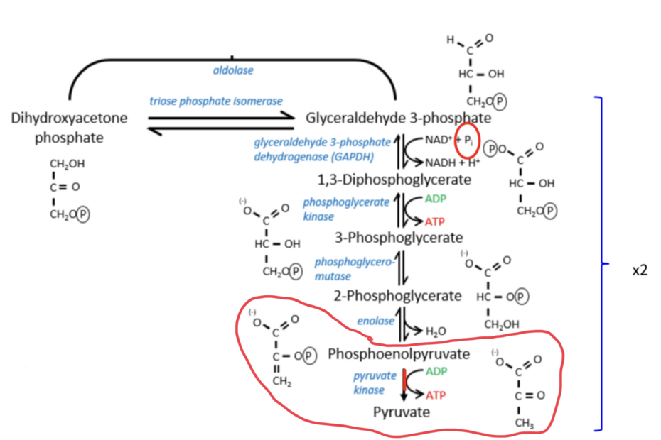
Solution lu0303 Posted December 4, 2022 Solution Posted December 4, 2022 Coucou les loulous @Hrou @cpassfacile @Sylicium14 @davidd alors je vous met une petite photo : la vous pouvez voir que la dernière réaction irréversible passe du phosphoenolpyruvate au pyruvate donc pour moi oui il faut bien le connaitre. peut etre que la prof a dit qu’il ne fallait pas connaitre les structures (je sais plus du tout si on devait les connaitre) mais je vous conseille quand même d’avoir un ordre d’idée, ca vous aide a comprendre la réaction. Donc en soit, je pense que la prof peut vous poser ce genre de question puisque la molécule est bien dans la réaction irréversible qui est donc à connaître. Est ce que c’est un peu plus clair ? :) à l’instant, cpassfacile a dit : @davidd elle a pas dit qu'il fallait connaître oxaloacétate, citrate et tt ? alors ca concerne le cycle de Krebs ca ahah, ici on parle de la glycolyse. Mais pour le cycle de krebs vous devez connaître toutes les irréversibles aussi ! Sylicium14 1 Quote
Ancien Responsable Matière davidd Posted December 4, 2022 Ancien Responsable Matière Posted December 4, 2022 il y a 3 minutes, cpassfacile a dit : @davidd elle a pas dit qu'il fallait connaître oxaloacétate, citrate et tt ? pour moi nannnnnnnn et puis j'ai fait vllaaaaa des annales sur ça car ça me mets en pls et ils le demande pas donc non Quote
Recommended Posts
Join the conversation
You can post now and register later. If you have an account, sign in now to post with your account.
Note: Your post will require moderator approval before it will be visible.