Jump to content

PS et PC


Go to solution Solved by Fabulo,

Recommended Posts

Posted (edited)

Bonjour j’avais noté un item vrai « phosphatidylserine est plus acide que phosphatidylcholine »

pouvez vous me confirmer que c’est une erreur svp?  
 

de plus que montre la réaction de peroxydation d’une molécule d’acide stéarique svp? 

Edited by manombilical
Posted

Hello @manombilical

Voici l’ordre d’acidité : PS > PE > PC 

Donc non ce n’est pas une erreur, PS est bien plus acide que PC. 

 

il y a 35 minutes, manombilical a dit :

de plus que montre la réaction de peroxydation d’une molécule d’acide stéarique svp? 

Pour cette question, je t’avoue que je ne sais pas trop, est ce que tu peux un peu plus developpé ta question ou m’envoyer le qcm si c’est une question dessus ;) 

  • Ancien Responsable Matière
  • Solution
Posted

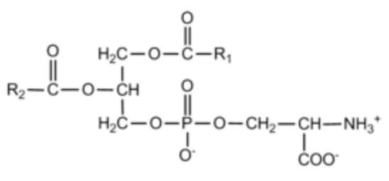
Hello @manombilical, pour illustrer :

PS : f8to.jpeg

PC: 12a4.jpeg

Tu peux voir aux fonctions que la PS (COOH + NH2) est plus acide que la PC (N+).

 

Pour ta deuxième question, j’ai pas compris non plus ce que tu veux dire :/

Posted

@lu0303 merci! Et c’est « le phénomène de peroxydation d’une molécule d’acide stéarique entraine la formation de molécules d’aldéhydes illustrant le phénomène de rancissement des graisses » 

Et merci également @Fabulo

  • Ancien Responsable Matière
Posted
Il y a 2 heures, manombilical a dit :

le phénomène de peroxydation d’une molécule d’acide stéarique entraine la formation de molécules d’aldéhydes illustrant le phénomène de rancissement des graisses

En effet, tu peux penser à l’huile que tu laisses à l’air ambiant dans la cuisine, elle va rancir. Ce phénomène s’explique par la peroxydation (si on prend la définition d’internet c’est oxyde au maximum une molécule, en gros c’est une oxydation) de l’acide COOH qui va devenir un aldéhyde COH. Tu reverras cette notion au S2 mais oxyder ça veut dire rajouter des O ou enlever des H.

Join the conversation

You can post now and register later. If you have an account, sign in now to post with your account.
Note: Your post will require moderator approval before it will be visible.

Guest
Reply to this topic...

×   Pasted as rich text.   Paste as plain text instead

  Only 75 emoji are allowed.

×   Your link has been automatically embedded.   Display as a link instead

×   Your previous content has been restored.   Clear editor

×   You cannot paste images directly. Upload or insert images from URL.

  • Recently Browsing   0 members

    • No registered users viewing this page.
×
×
  • Create New...