Jump to content

qcm 22 td lipides


Go to solution Solved by Insolence,

Recommended Posts

  • Ancien Responsable Matière
Posted

coucouu c la dernière question sur le td de lipides normalement mdrr : j'ai pas compris la correction des items b c d et e, est ce que quelqu'un pourrait m'expliquer svp 

https://zupimages.net/viewer.php?id=22/48/vfpo.png 

autre qst : le suffixe "oyl" = ester  et "yl" = ether ?  

 

merci de votre aide et dsl pour l'harcèlement ...

  • Solution
Posted (edited)

Re @dzinthesky :)

 

Pour la B : on peut pas considérer ça comme du C18:1 pour la simple et bonne raison que c'est un alcool gras. En effet le composé est lié au glycérol par une liaison ether (-O-)

 

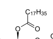
Pour la C : image.png.ef1e9b8fe8c42b928cf41e9bfd3eb092.png

Ca c'est un acide stéarique (C18) qui est sensible à la méthanolyse alcaline douce à cause de sa liaison ester. La seule double liaison qu'il contient c'est entre un carbone et un oxygène donc ce n'est pas compté comme une insaturation.

 

Pour la D : Ce n'est pas du PAF-acether parce qu'on a pas d'acetyl 

 

Pour la E : Sur le carbone 1 on a un alcool gras

 

il y a 31 minutes, dzinthesky a dit :

le suffixe "oyl" = ester  et "yl" = ether ?  

Oyl = Acide Gras = ester

Yl = alcool gras = ether

 

Edited by Insolence

Join the conversation

You can post now and register later. If you have an account, sign in now to post with your account.
Note: Your post will require moderator approval before it will be visible.

Guest
Reply to this topic...

×   Pasted as rich text.   Paste as plain text instead

  Only 75 emoji are allowed.

×   Your link has been automatically embedded.   Display as a link instead

×   Your previous content has been restored.   Clear editor

×   You cannot paste images directly. Upload or insert images from URL.

  • Recently Browsing   0 members

    • No registered users viewing this page.
×
×
  • Create New...