Jump to content

question calcul biophy


Go to solution Solved by CaPASSkrèm,

Recommended Posts

Posted

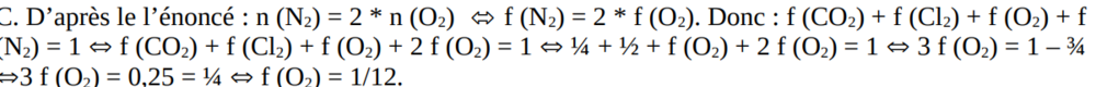
Bonjour, j'ai une question toute petite, j'aimerais savoir comment on passe de 

3f(O2)=1/4 à f(O2)= 1/12 c'est juste cette partie du calcul que je n'arrive pas à faire..

Merci d'avance de votre  aide et merci de ce que vous faites pour nous 917953681_questiontat.thumb.png.59ef01ddfb887f339b429f002a2389cf.png

  • Solution
Posted
il y a 25 minutes, rockytitine a dit :

Bonjour, j'ai une question toute petite, j'aimerais savoir comment on passe de 

3f(O2)=1/4 à f(O2)= 1/12 c'est juste cette partie du calcul que je n'arrive pas à faire..

Merci d'avance de votre  aide et merci de ce que vous faites pour nous 917953681_questiontat.thumb.png.59ef01ddfb887f339b429f002a2389cf.png

Saluuut @rockytitine ! 
Pour cette partie du calcul, tu veux juste isoler f(O2) donc tu divises par 3 des deux côtés. Ça te fait 3f(O2) =(1/4)/3 => f(02) = 1/12 

 

Si tu as d’autres questions n’hésite pas !! 
 

Bon courage 💪🏻🧡

Join the conversation

You can post now and register later. If you have an account, sign in now to post with your account.
Note: Your post will require moderator approval before it will be visible.

Guest
Reply to this topic...

×   Pasted as rich text.   Paste as plain text instead

  Only 75 emoji are allowed.

×   Your link has been automatically embedded.   Display as a link instead

×   Your previous content has been restored.   Clear editor

×   You cannot paste images directly. Upload or insert images from URL.

  • Recently Browsing   0 members

    • No registered users viewing this page.
×
×
  • Create New...