Ancien du Bureau Vaiana Posted March 17, 2021 Ancien du Bureau Posted March 17, 2021 Salut, j'avais oublié de poser la question :c qui me rappelle rapidement les étapes de cette réaction c'est pour voir si j'ai défilé le bon raisonnement. Merci beaucoup Quote
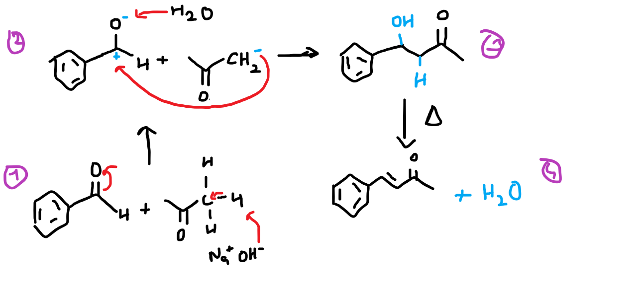
Solution Ilyatrogène Posted March 17, 2021 Solution Posted March 17, 2021 (edited) Salut ! Je veux pas te dire de bêtise, il faudrait attendre confirmation mais je dirai que : c'est une aldolisation car on a 2 carbonylés et qu'on est en milieu basique fort La base va attaquer un de tes carbonylé et lui arracher un H qui est sur le carbone porteur de la fonction, celui-ci va se retrouver avec un doubler libre et sera chargé (-) et c'est l'ion énolate (carbanion) --> ce doublet va fixer le C porteur de la fonction de ton AUTRE composé car il sera déficitaire en électron après que la double liaison C=O ait été rompue pour libérer H2O --> les deux composés carbonylés sont liés en Béta l'un de l'autre : ça veut dire que la fonction aldéhyde/cétone de ton 2e composé sera pas en alpha mais en béta du C de ton 1er composé qui porte la fonction OH --> on parle de B-aldol ou B-cétol MAIS C'EST PAS FINI ! on voit que ton composé final n'a plus la fonction alcool : c'est parce que on a chauffé et il y' a eu élimination de H2O (OH de la fonction alcool et le H qui était en alpha du C porteur de la fonction OH) --> on parle maintenant de cétone ou aldéhyde a,B-éthylénique Voilaaa j'espère que c'est assez clair mais si jamais c'est la diapo 143 Edited March 17, 2021 by Ilyana31 Vaiana and Shrex 2 Quote
Shrex Posted March 17, 2021 Posted March 17, 2021 @tRARAbajarJ'ai fait un schéma pour compléter ce qu'a dit @Ilyana31 Je suis pas 100% sûr de moi mais je pense que j'ai du bon vu que j'arrive bien à la molécule finale Zeepek, Odontoboulot, Ilyatrogène and 1 other 1 1 2 Quote
Ancien du Bureau Vaiana Posted March 17, 2021 Author Ancien du Bureau Posted March 17, 2021 @Shrex @Ilyana31 Merci beaucoup à vos excellentes réponses ! Je mets le best answer au plus rapide mais les deux sont PAR-FAITES @Shrex vu que je vois que t'es sous mon poste et que tu réponds vite, est-ce qu'un acide carboxylique est considéré comme un dérivé carbonylé ? (ça diffère en fonction des td annales) et déshydrogénation = oxydation (il me semble que oui mais c'est pour être sûre) ? Merci bcq à toi jppp j'ai trop de question Ilyatrogène and Shrex 2 Quote
Shrex Posted March 17, 2021 Posted March 17, 2021 (edited) Haha bien joué pour la best answer @Ilyana31 Révélation Non plus sérieusement t'as giga bien expliqué avec des mots franchement respect parce que la chimie orga c'est déjà hard en schémas alors réussir à tout bien expliquer en texte je suis il y a 11 minutes, tRARAbajar a dit : est-ce qu'un acide carboxylique est considéré comme un dérivé carbonylé ? Je dirais que oui... mais attend confirmation quand même parce que je suis vraiment pas sûr... (peut etre que carboxyle c'est à part je sais pas et que la prof fait bien la distinction pour séparer les COOH des cétones et aldéhydes...) il y a 11 minutes, tRARAbajar a dit : déshydrogénation = oxydation Je dirais aussi oui (après vérif c'est dans la partie oxydation du cours donc y a plus de place au doute) Edited March 17, 2021 by Shrex Ilyatrogène 1 Quote
Ancien du Bureau Vaiana Posted March 17, 2021 Author Ancien du Bureau Posted March 17, 2021 @Shrex jppp mais le pauvre shrex se fait h24 prendre les best answer sous mes posts mdrrrr Merci beaucoup à toi Quote
Ilyatrogène Posted March 17, 2021 Posted March 17, 2021 Avec plaisir @tRARAbajar ! Mdrrr désolée @Shrex, je galère aussi en chimie orga du coup c'est plus simple d'expliquer comme je me l'explique à moi-même quand je comprends pas Vaiana and Shrex 1 1 Quote
Recommended Posts
Join the conversation
You can post now and register later. If you have an account, sign in now to post with your account.
Note: Your post will require moderator approval before it will be visible.