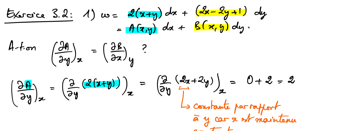
Ancien du Bureau Vaiana Posted February 10, 2021 Ancien du Bureau Posted February 10, 2021 Salut, j'ai juste un truck qui me turlupine : dans la toute première ligne y a écrit "dx", je pensais que donc dans le cas de la différentielle cela signifie lorsque qu'on a "dx" que la variable est x, mais vous voyez dans les lignes d'après on prend "x" comme constante dans la formule de la différentielle vous en pensez quoi?? Merci Quote
Ancien Responsable Matière Herlock Posted February 10, 2021 Ancien Responsable Matière Posted February 10, 2021 @rara31 Salut J'aurais dit que c'est une coquille et que c'est plutôt 2y qui est une constante ! mais je veux pas dire de bêtises ! Vaiana 1 Quote
Ancien du Bureau Vaiana Posted February 10, 2021 Author Ancien du Bureau Posted February 10, 2021 à l’instant, Herlock a dit : @rara31 Salut J'aurais dit que c'est une coquille et que c'est plutôt 2y qui est une constante ! mais je veux pas dire de bêtises ! Coucou @Herlock Ah merci je me disais que c'était bizarre ! Quote
Ancien Responsable Matière Herlock Posted February 10, 2021 Ancien Responsable Matière Posted February 10, 2021 (edited) il y a 3 minutes, rara31 a dit : Ah merci je me disais que c'était bizarre ! non du coup si tu regardes après pour le y c'est l'inverse du coup ce n'est pas une coquille, je crois que j'ai compris ! oui j'ai crois compris ici x est ta constante !! et tu as bien dA/dy y étant la variable ! du coup c'est bien ça, j'ai lu trop vite dsl !! le fait de mettre ce que tu veux intégrer en parenthèse avec une variable en indice, indique que tu vas bien intégrer ce qui est en parenthèse et ton indice pour la parenthèse va être celui qui est maintenu constant !! Edited February 10, 2021 by Herlock Quote
Ancien du Bureau Vaiana Posted February 10, 2021 Author Ancien du Bureau Posted February 10, 2021 il y a 20 minutes, Herlock a dit : le fait de mettre ce que tu veux intégrer en parenthèse avec une variable en indice, indique que tu vas bien intégrer ce qui est en parenthèse et ton indice pour la parenthèse va être celui qui est maintenu constant !! oui mais du coup ce qu'on met en indice c'est la constante et pas la variable non ? Ou je m'emmêle les pinceaux Quote
Ancien Responsable Matière Herlock Posted February 10, 2021 Ancien Responsable Matière Posted February 10, 2021 il y a 1 minute, rara31 a dit : oui mais du coup ce qu'on met en indice c'est la constante et pas la variable non ? Ou je m'emmêle les pinceaux en indice c'est la constante d'où 2x avec x constant = 0 Quote
Ancien du Bureau Vaiana Posted February 10, 2021 Author Ancien du Bureau Posted February 10, 2021 à l’instant, Herlock a dit : en indice c'est la constante d'où 2x avec x constant = 0 oui du coup c'est pour ça que je comprends pas tu vois dans la première ligne "2* (x+y) dx ", genre moi d'habitude quand j'écris sous la forme de Leibniz -> je mets toujours "dx" au dénominateur et c'est lui la variable c'est pour ça que je comprends pas pourquoi ici dx est la constante je sais pas si t'as compris mais c'est peut-être une règle d'écriture ? Quote
Ancien Responsable Matière Herlock Posted February 10, 2021 Ancien Responsable Matière Posted February 10, 2021 OK j'ai compris ! Je te réponds dans 10 min ! Quote
Ancien Responsable Matière Solution Herlock Posted February 10, 2021 Ancien Responsable Matière Solution Posted February 10, 2021 (edited) @rara31On est dans le cas de dérivée partielle, comme on doit prouver qu'il s'agit d'une DTE il faut qu'on regarde déjà ce qu'on obtient quand ce sont des dérivées partielles avec une des variables qui est constante ! Tu vas ensuite utiliser le th de Schwarz/Cauchy (j'ai un doute !) sur tes dérivées partielles donc oui c'est bien différent de l'écriture de Leibniz !! Révélation Dsl du retard!! Edited February 10, 2021 by Herlock Quote
Ancien du Bureau Vaiana Posted February 10, 2021 Author Ancien du Bureau Posted February 10, 2021 il y a une heure, Herlock a dit : @rara31On est dans le cas de dérivée partielle, comme on doit prouver qu'il s'agit d'une DTE il faut qu'on regarde déjà ce qu'on obtient quand ce sont des dérivées partielles avec une des variables qui est constante ! Tu vas ensuite utiliser le th de Schwarz/Cauchy (j'ai un doute !) sur tes dérivées partielles donc oui c'est bien différent de l'écriture de Leibniz !! Révéler le contenu masqué Dsl du retard!! Merci et tqt pas pour le retard ça presse pas Attends du coup tu m'as dit qu'on peut changer de titre ? Quote
Ancien Responsable Matière Herlock Posted February 10, 2021 Ancien Responsable Matière Posted February 10, 2021 il y a 1 minute, rara31 a dit : Attends du coup tu m'as dit qu'on peut changer de titre ? @rara31 Tu parles du passage au millier ou des maths ? Quote
Ancien du Bureau Vaiana Posted February 10, 2021 Author Ancien du Bureau Posted February 10, 2021 il y a 1 minute, Herlock a dit : @rara31 Tu parles du passage au millier ou des maths ? PTDRR du passage, j'espère y aura la place de mettre "je passerai sans faire de Chichi" Quote
Ancien Responsable Matière Herlock Posted February 10, 2021 Ancien Responsable Matière Posted February 10, 2021 il y a 59 minutes, rara31 a dit : PTDRR du passage, j'espère y aura la place de mettre "je passerai sans faire de Chichi" Ah d'accord ! I hope so !! Quote
Recommended Posts
Join the conversation
You can post now and register later. If you have an account, sign in now to post with your account.
Note: Your post will require moderator approval before it will be visible.