Jump to content

mésomères


Go to solution Solved by saraahh,

Recommended Posts

Posted

bonjour,

j'aurai besoin d'aide pour ce qcm de Maraîchers 2012 svp 🙂 🙂 🙂

pour la A, comment l'item peut être vrai alors que l'oxygène ne peut former que 2 liaisons covalente à la base ?

pourquoi la B est fausse ?

comment la C peut être fausse alors l'azote fait déjà 4 liaisons, comment pourrait il avoir un électron en plus, son doublet n'est plus disponible..?

pour la D et E c'est bon (enfin 😅)

 

https://zupimages.net/viewer.php?id=21/03/uo2j.png

 

merci!

 

  • Ancien Responsable Matière
  • Solution
Posted (edited)

coucou @angliquee !

alors je vais essayer de t'expliquer item par item avec des couleurs et des flèches sur les schémas (désolée c'est un peu laid)

  • en vert c'est des groupement attracteurs par effets mésomères
  • en rose c'est les groupements donneurs par effet mésomère
  • en rouge y'a les doublets non liants/ doublets d'électrons
  • en bleu les mouvements des doublets d'électrons

et je te précise qqchose au cas où, dans les formes mésomères quand c'est chargé + il manque un doublet, et quand c'est chargé moins y'en a un en trop

il y a 43 minutes, angliquee a dit :

pour la A, comment l'item peut être vrai alors que l'oxygène ne peut former que 2 liaisons covalente à la base ?

pourquoi la B est fausse ?

comment la C peut être fausse alors l'azote fait déjà 4 liaisons, comment pourrait il avoir un électron en plus, son doublet n'est plus disponible..?

je récapitule juste les réponses en f° des formes et non des items : les formes mésomères justes sont A, C, D (les items AE étaient vrais)

 

item A :

4lrb.png

on part d'un groupement donneur en rose qui donne le doublet et devient chargé +, et le doublet "circule" vers le groupement attracteur en vers donc le O devient chargé - ; c'est correct

item B :

8fc7.png

alors là on a un CHO attracteur donc on va délocaliser une des doublets du C\equivC vers le CHO ainsi c'est bien le CHO qui a un doublet en plus donc les charges doivent être inversées ; c'est faux

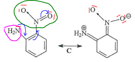
item C :

63z5.png

je pense que tu vas commencer à choper le truc, on part du groupement donneur NH2 vers le groupement attracteur NO2, on délocalise le doublet et donc on se retrouver avec une forme chargé + sur le gpt donneur et - sur le gpt attracteur ; c'est correct

 

items D et E : (t'avais pas l'air sûre de toi donc je te fais un schéma bonus 😉)

fu2c.png

les 2 formes sont à peu près semblables dans la réflexion :

item D : tu vois que ton CH2 est chargé - ce qui veut dire qu'il a un doublet en trop, donc il va se délocaliser en direction du CH+ qui lui est en manque d'électrons ainsi le CH2- devient neutre et le CH+ aussi car un CH2 doublement lié fait bien 4 liaisons et un CH avec 3 autres liaisons en tout a bien 4 liaisons, on est bon ! c'est correct

item E : le Br est un halogène qui exerce un effet mésomère donneur et porte 3 doublets, il va donc donner un de ses doublets vers le CH2, donc on délocalise le doublet et c'est le CH2 qui se retrouve avec un doublet l'électron en trop donc les charges ont été inversées pour t'induire en erreur ! ça va pas !

 

voilà j'espère que ça rend la réflexion sur ce type d'exo plus claire pour toi, n'hésite pas si c'est pas clair 😘

 

et j'insiste sur un truc dans tout mes posts de chimie sur ce chapitre mais tu remarqueras que dans les groupements donneurs mésomères on n'a que des simples liaisons (NH2, OCH3), dans les groupements attracteurs (CHO, NO2, CH3-C=O) il y a toujours une double liaison qui peut aussi être triple parfois, donc si ça peut t'aider à retenir les listes des groupements c'est tant mieux 

 

 

Edited by saraahh
Posted
Il y a 3 heures, saraahh a dit :

coucou @angliquee !

alors je vais essayer de t'expliquer item par item avec des couleurs et des flèches sur les schémas (désolée c'est un peu laid)

  • en vert c'est des groupement attracteurs par effets mésomères
  • en rose c'est les groupements donneurs par effet mésomère
  • en rouge y'a les doublets non liants/ doublets d'électrons
  • en bleu les mouvements des doublets d'électrons

et je te précise qqchose au cas où, dans les formes mésomères quand c'est chargé + il manque un doublet, et quand c'est chargé moins y'en a un en trop

je récapitule juste les réponses en f° des formes et non des items : les formes mésomères justes sont A, C, D (les items AE étaient vrais)

 

item A :

4lrb.png

on part d'un groupement donneur en rose qui donne le doublet et devient chargé +, et le doublet "circule" vers le groupement attracteur en vers donc le O devient chargé - ; c'est correct

item B :

8fc7.png

alors là on a un CHO attracteur donc on va délocaliser une des doublets du C\equivC vers le CHO ainsi c'est bien le CHO qui a un doublet en plus donc les charges doivent être inversées ; c'est faux

item C :

63z5.png

je pense que tu vas commencer à choper le truc, on part du groupement donneur NH2 vers le groupement attracteur NO2, on délocalise le doublet et donc on se retrouver avec une forme chargé + sur le gpt donneur et - sur le gpt attracteur ; c'est correct

 

items D et E : (t'avais pas l'air sûre de toi donc je te fais un schéma bonus 😉)

fu2c.png

les 2 formes sont à peu près semblables dans la réflexion :

item D : tu vois que ton CH2 est chargé - ce qui veut dire qu'il a un doublet en trop, donc il va se délocaliser en direction du CH+ qui lui est en manque d'électrons ainsi le CH2- devient neutre et le CH+ aussi car un CH2 doublement lié fait bien 4 liaisons et un CH avec 3 autres liaisons en tout a bien 4 liaisons, on est bon ! c'est correct

item E : le Br est un halogène qui exerce un effet mésomère donneur et porte 3 doublets, il va donc donner un de ses doublets vers le CH2, donc on délocalise le doublet et c'est le CH2 qui se retrouve avec un doublet l'électron en trop donc les charges ont été inversées pour t'induire en erreur ! ça va pas !

 

voilà j'espère que ça rend la réflexion sur ce type d'exo plus claire pour toi, n'hésite pas si c'est pas clair 😘

 

et j'insiste sur un truc dans tout mes posts de chimie sur ce chapitre mais tu remarqueras que dans les groupements donneurs mésomères on n'a que des simples liaisons (NH2, OCH3), dans les groupements attracteurs (CHO, NO2, CH3-C=O) il y a toujours une double liaison qui peut aussi être triple parfois, donc si ça peut t'aider à retenir les listes des groupements c'est tant mieux 

 

 

merci beaucoup pour cette explication si compète je comprends mieux 🙂 mais le seul truc que je ne comprends toujours pas c'est comment à l'item A, l'oxygène peut faire trois liaisons alors qu'il n'est censé n'en faire que 2 selon les règles de l'octet.. merci encore

Posted

Salut ! 

 

Si l'oxygène peut faire deux liaisons c'est qu'il a 2 e- célibataires. Quand il est chargé positivement il a 3 e- célibataires, il peut donc faire 3 liaisons :

IMG_20210120_205424.jpg?width=1163&height=676

 

Voilà , j'espère que c'est plus clair comme ça ^^

Posted
il y a 2 minutes, etelteleur a dit :

Salut ! 

 

Si l'oxygène peut faire deux liaisons c'est qu'il a 2 e- célibataires. Quand il est chargé positivement il a 3 e- célibataires, il peut donc faire 3 liaisons :

IMG_20210120_205424.jpg?width=1163&height=676

 

Voilà , j'espère que c'est plus clair comme ça ^^

c'est plus clair en effet, merci beaucoup !!

  • Ancien Responsable Matière
Posted
il y a 7 minutes, angliquee a dit :

merci beaucoup pour cette explication si compète je comprends mieux 🙂 mais le seul truc que je ne comprends toujours pas c'est comment à l'item A, l'oxygène peut faire trois liaisons alors qu'il n'est censé n'en faire que 2 selon les règles de l'octet.. merci encore

ce que dit @etelteleur est nickel

en fait il faut juste que ton O soit entouré de 8 électrons 

en temps normal c'est 2 doublets non liants + 2 liaisons qui font 8 électrons

et dans le cas présent on a 3 liaisons = 6 électrons + 1 seul doublet non liant car il est chargé + = 2 électrons 

au total ça fait toujours 8 électrons DONC la règle de l'octet est totalement respectée ! 

 

ne lâche rien ça va devenir automatique avec un peu de pratique ! 🥰

Join the conversation

You can post now and register later. If you have an account, sign in now to post with your account.
Note: Your post will require moderator approval before it will be visible.

Guest
Reply to this topic...

×   Pasted as rich text.   Paste as plain text instead

  Only 75 emoji are allowed.

×   Your link has been automatically embedded.   Display as a link instead

×   Your previous content has been restored.   Clear editor

×   You cannot paste images directly. Upload or insert images from URL.

  • Recently Browsing   0 members

    • No registered users viewing this page.
×
×
  • Create New...