Jump to content

maths thème 1 exo 2.1


Go to solution Solved by DrFail,

Recommended Posts

Posted

Bonsoir, 

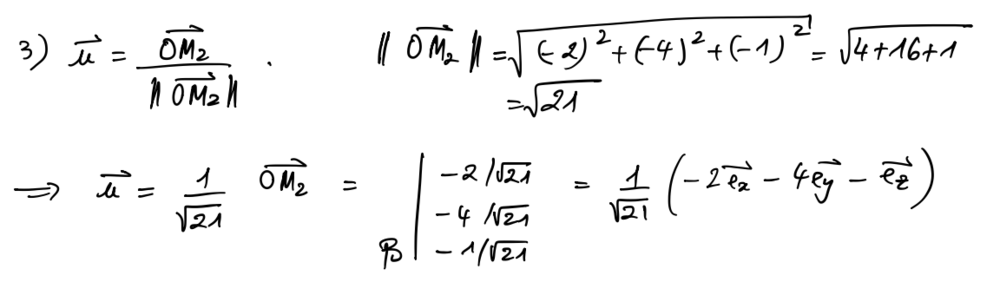
je n'arrive pas à comprendre dans la correction d'où sort le 1/ racine de 21

(c'est peut-être une question bête mais avec mon bac ST2S j'ai un peu de mal 😅)

 

Merci d'avance 

 

correction maths 2.1.png

  • Ancien Responsable Matière
Posted (edited)

@AmberellaCa vient du fait que la norme du vecteur \left \| \overrightarrow{OM_{2}} \right \| = \sqrt{21} et dans le fascicule (p.2)on nous dit qu'un vecteur unitaire (\overrightarrow{u}) s'écrit sous la forme de la première équation \frac{\overrightarrow{OM_{2}}}{\left \| \overrightarrow{OM_{2}} \right \| }= \overrightarrow{u}tout en haut à gauche (au niveau du petit 3 dans la correction) on a dans cette équation \frac{1}{\left \| \overrightarrow{OM_{2}} \right \| }= \frac{1}{\sqrt{21}} soit 1/la norme du vecteur OM2 d'où 1/racine de 21

 

 

Edited by Herlock
Posted
il y a 4 minutes, Herlock a dit :

@AmberellaCa vient du fait que la norme du vecteur Om2 = racine carrée de 21 et dans le fascicule (p.2)on nous dit qu'un vecteur unitaire s'écrit sous la forme de la première équation tout en haut à gauche (au niveau du petit 3 dans la correction) on a dans cette équation 1/la norme du vecteur OM2 d'où 1/racine de 21

 oui j'ai bien trouvé pour la norme mais c'est le 1 que je comprends pas d'où il sort

  • Ancien Responsable Matière
Posted

1* \overrightarrow{OM_{2}} = \overrightarrow{OM_{2}} au numérateur

il y a 1 minute, Amberella a dit :

oui j'ai bien trouvé pour la norme mais c'est le 1 que je comprends pas d'où il sort

 

  • Solution
Posted

Hey, enfaite t'es d'accord en remplaçant qu'on a u= OM/racine carré (21) c'est égal à 1/racine carré (21) x OM

enfaite c'est comme si t'as a/b = a x 1/b

Et enfaite la prof a fait ça pour mettre 1/racine carré (21) en facteur pour avoir les coordonnées de ce vecteur unitaire pour x,y,z

Posted
il y a 8 minutes, Herlock a dit :

1* \overrightarrow{OM_{2}} = \overrightarrow{OM_{2}} au numérateur

 

 

il y a 6 minutes, DrFail a dit :

Hey, enfaite t'es d'accord en remplaçant qu'on a u= OM/racine carré (21) c'est égal à 1/racine carré (21) x OM

enfaite c'est comme si t'as a/b = a x 1/b

Et enfaite la prof a fait ça pour mettre 1/racine carré (21) en facteur pour avoir les coordonnées de ce vecteur unitaire pour x,y,z

oui je crois avoir compris, mais j'avais pas capté que entre le 1/ racine de 21 était multiplié à OM dans la correction 😅

 

merci beaucoup à vous 2 !

  • Ancien Responsable Matière
Posted
il y a 4 minutes, Amberella a dit :

 

oui je crois avoir compris, mais j'avais pas capté que entre le 1/ racine de 21 était multiplié à OM dans la correction 😅

 

merci beaucoup à vous 2 !

@AmberellaAvec plaisir !!!

Posted
il y a 6 minutes, Amberella a dit :

oui je crois avoir compris, mais j'avais pas capté que entre le 1/ racine de 21 était multiplié à OM dans la correction 😅

 

merci beaucoup à vous 2 !

de riennn :)) n'hésite pas

Join the conversation

You can post now and register later. If you have an account, sign in now to post with your account.
Note: Your post will require moderator approval before it will be visible.

Guest
Reply to this topic...

×   Pasted as rich text.   Paste as plain text instead

  Only 75 emoji are allowed.

×   Your link has been automatically embedded.   Display as a link instead

×   Your previous content has been restored.   Clear editor

×   You cannot paste images directly. Upload or insert images from URL.

  • Recently Browsing   0 members

    • No registered users viewing this page.
×
×
  • Create New...
Radio