Jump to content

maltose


Go to solution Solved by jaimelapluie,

Recommended Posts

Posted (edited)

Salut,

Dans le cours sur les glucides je suis un peu perdue concernant le maltose: en effet j'ai l'impression qu'il en existe 2 formes: une réductrice en 1->4 et une non réductrice en 1--> 1, mais du coup on doit retenir laquelle ? 

Mercii

 

Par exemple si un item est "le maltose est réducteur" on répond quoi ? 

Edited by Alpass
  • Solution
Posted

Salut, 

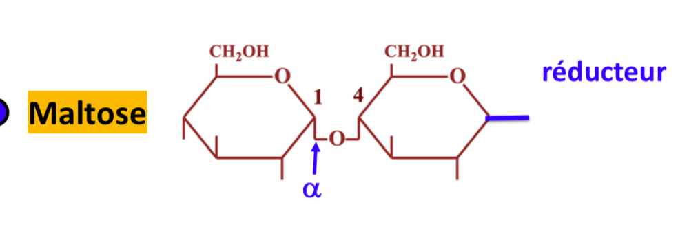
Alors pour moi on ne pourra pas te poser directement cette question dans le sens où, on ne peut dire d'un ose s'il est réducteur ou non qu'en se basant sur ses liaisons : le maltose sera non réducteur s'il possède une liaison alpha 1 -> beta 1 car aucun des deux glucoses n'a de fonction aldéhyde de libre,

contrairement au maltose sous sa forme avec la liaison alpha 1 -> alpha ou beta 4 où ici le deuxième glucose a sa fonction aldéhyde de libre et peut donc aller chercher des électrons et être réducteur ce qui fait de ''ce'' maltose un ose réducteur. 

 

J'espère que j'ai été suffisamment compréhensible et que ça t'aidera ! Si jamais n'hésite pas à demander des éclaircissements !

Maltose non réducteur liaison alpha 1 -> beta 1.png

maltose réducteur liaison alpha 1 -> alpha ou beta 4.png

Join the conversation

You can post now and register later. If you have an account, sign in now to post with your account.
Note: Your post will require moderator approval before it will be visible.

Guest
Reply to this topic...

×   Pasted as rich text.   Paste as plain text instead

  Only 75 emoji are allowed.

×   Your link has been automatically embedded.   Display as a link instead

×   Your previous content has been restored.   Clear editor

×   You cannot paste images directly. Upload or insert images from URL.

  • Recently Browsing   0 members

    • No registered users viewing this page.
×
×
  • Create New...