Jump to content

Problème fondamental...


Go to solution Solved by Bryan,

Recommended Posts

  • Ancien Responsable Matière
Posted (edited)

Bonjour ! 

 

Ma question se rapporte au QCM 17 de la colle de Maths de cette semaine, mais la question a une portée plus générale. 

 

On a la fonction g(x) = \sqrt{cos(x)sin^{2}(x)\frac{}{}} = sin(x)\sqrt{cos(x)}

 

or, la dérivée des ces deux fonctions (qui sont pourtant algébriquement identiques?!!!) est différente ! Je vous laisse le constater par vous même, et c'est justement ça que je ne comprends pas... 

 

J'ai passé un coup de téléphone à Einstein mais il ne m'a pas répondu...

 

 

Merci d'avance... 🙂 

Edited by lajuxtaposé
  • Ancien Responsable Matière
Posted

salut @lajuxtaposé

 

alors il y a une erreur dans l'égalité que tu donnes

 

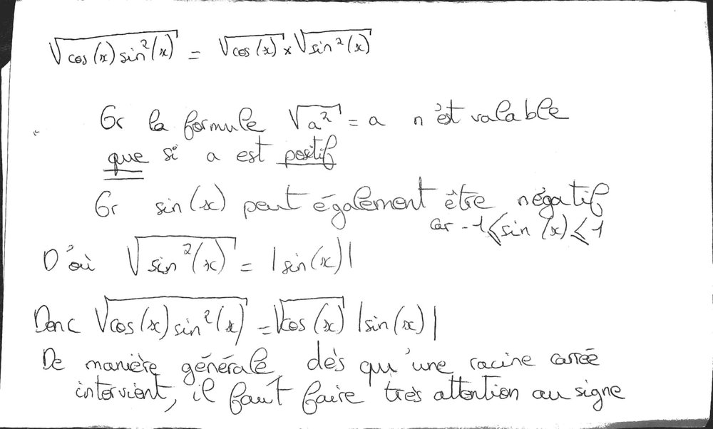
c'est \sqrt{cos(x)sin(x)^{2}}=\sqrt{cos(x)}\left | sin(x) \right | ce qui change totalement la dérivé est normalement tu tombe sur la même chose

ensuite ce qui est important c'est de garder la forme de base. SSouvnet modifier la formule de départ, c'est risquer de faire une erreur comma là

 

en espérant t'avoir répondu

  • Ancien Responsable Matière
Posted
il y a 2 minutes, Hypnos a dit :

salut @lajuxtaposé

 

alors il y a une erreur dans l'égalité que tu donnes

 

c'est \sqrt{cos(x)sin(x)^{2}}=\sqrt{cos(x)}\left | sin(x) \right | ce qui change totalement la dérivé est normalement tu tombe sur la même chose

ensuite ce qui est important c'est de garder la forme de base. SSouvnet modifier la formule de départ, c'est risquer de faire une erreur comma là

 

en espérant t'avoir répondu

 

Merci beaucoup !!! Je suis bête... 🙂 

  • Solution
Posted (edited)

Rah tu m'as devancé 😆

Yes de manière détaillée:

 

121568547_3612178918804429_3577101585036369087_n.jpg

J'ai corrigé le supérieur ou égal pour le sin(x) 😉

Edited by Bryan

Join the conversation

You can post now and register later. If you have an account, sign in now to post with your account.
Note: Your post will require moderator approval before it will be visible.

Guest
Reply to this topic...

×   Pasted as rich text.   Paste as plain text instead

  Only 75 emoji are allowed.

×   Your link has been automatically embedded.   Display as a link instead

×   Your previous content has been restored.   Clear editor

×   You cannot paste images directly. Upload or insert images from URL.

  • Recently Browsing   0 members

    • No registered users viewing this page.
×
×
  • Create New...