Jump to content

Basicité cycle


Go to solution Solved by Jygorath,

Recommended Posts

Posted

Bonjour! 

 

Je m'emmêle les pinceaux dans l'ordre de basicité des cycles...

Lequel est le plus basique entre l'aniline et la pyridine?

Dans le cours, ils disent que c'est la pyridine la base la plus forte, mais dans un qcm ils disaient le contraire...

 

Si quelqu'un veut bien m'expliquer! 

 

Posted

Bonjour à toi,

alors en fait pour moi la pyridine est plus basique car du fait de l'hétéroatome dans le cycle, forme mésomère IMPOSSIBLE ! Les électrons sont donc figé dans le cycle !

Or dans la molécule l'aniline il y a effets mésomères, ce qui entraine une délocalisation des électrons, donc si délocalisation, il est plus stable et a donc moins tendance à donner son electron, la basicité diminue....

  • Solution
Posted

Salutation.

 

Le 08/11/2019 à 17:58, Sashounet a dit :

alors en fait pour moi la pyridine est plus basique car du fait de l'hétéroatome dans le cycle, forme mésomère IMPOSSIBLE ! Les électrons sont donc figé dans le cycle !

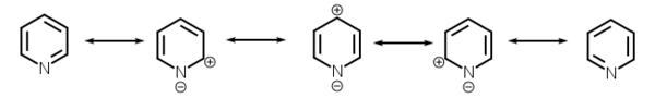
Désolé @Sashounet mais c'est faux. La pyridine possède bien des effets mésomère. La preuve :

image.png.d4813759d5e51474993a4e468db27f25.png

Pour les acides-bases je réfléchis beaucoup avec la densité électronique : forte densité électronique, le proton aura moins "l'occasion" de partir, donc plus basique. Et inversement.

L'aniline avec son effet mésomère accepteur est donc plus acide que la pyridine. Point. Quelque soit ce qui est dit dans les QCMs que tu trouves.

Posted (edited)

Bonjour à vous 💚

Merci à toi @Jygorath j'avais refait de mon côté et m'étais rendu compte de mon erreur, mais je n'ai pas pu corriger pour une raison X....

Donc en y réfléchissant un peu, je me suis rendu compte que les 2 possédaient 4 formes mésomères, donc ce qui doit différencier le plus basique c'est leur azote respectif, en effet, dans l'aniline, l'amine I est relié à un seul C, tandis que dans la pyridine, l'amine est II, car relié à 2C.

Comme on a vu dans le cours, une amine II> amine I en terme de force de basicité.. @LeBlaireau

Si on va chercher les pKa des 2 bases, on trouve pKa aniline= 4,6 et pKa pyridine = 5,5 ce qui montre encore une fois que la pyridine est plus basique 

:maraich:💚💚:maraich:

Edited by Sashounet
Erreur de frappe
Posted

Alors @Sashounet, plus le pKa est faible et plus l'espèce correspondante est acide. Donc selon les pKa, c'est bien l'aniline qui est plus acide que la pyridine. De plus tu te contredit au niveau de ta justification sur les amines primaire & secondaire. C'est bien parce que l'amine de la pyridine est secondaire que celle-ci est plus basique (ou moins acide comme tu veux) que l'aniline, qui possède une amine primaire.

Voili voilou.

Posted

@Jygorath

Oui tu as raison ! (j'en ai marre de moi 😭) je voulais bien mettre pyridine, et pas aniline, donc j'ai edité et mis en gras, comme ça pas d'erreur, c'est vraiment une faute "de frappe ou d'inattention"....

En tout cas le resonnement etait bien le meme, merciiiii encore pour ta présence et tes réponses claires et concises à chaque fois !!!

Join the conversation

You can post now and register later. If you have an account, sign in now to post with your account.
Note: Your post will require moderator approval before it will be visible.

Guest
Reply to this topic...

×   Pasted as rich text.   Paste as plain text instead

  Only 75 emoji are allowed.

×   Your link has been automatically embedded.   Display as a link instead

×   Your previous content has been restored.   Clear editor

×   You cannot paste images directly. Upload or insert images from URL.

  • Recently Browsing   0 members

    • No registered users viewing this page.
×
×
  • Create New...
Radio