Jump to content

Formule de Bethe et bidule


Go to solution Solved by Fugu,

Recommended Posts

Posted

Salut !

J'ai des soucis de compréhension à propos des deux derniers termes de la formule de Bethe et Weizsäcker.

Que signifie l'énergie d'asymétrie et d'appariment ? 

Je n'arrive pas à cerner la différence entre ces deux termes. 

Si quelqu'un saurait m'expliquer tout ceci… ? 

Merci et bon Week-end !

Posted

Yoo! Moi j'ai compris que l'énergie d'asymetrie permet de mettre en évidence l'excès de neutrons par rapport aux protons ! Donc elle est nul pour N=Z (petit A)! 

Pour l'énergie d'appariement, elle diffère selon la stabilité de ton noyau ! Si il est stable (A pair pour N et Z pair) : positif, s'il est instable pour A pair mais N ou Z impair, négatif et si il est instable pour A impair : égal à 0 ! 

  • Solution
Posted

Saluuuut @Porthos

 

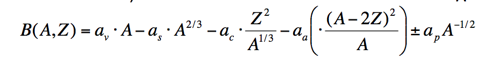
Faisons ensemble un petit récapitulatif de cette magnifique formule : 

 

image.png.9cce7c2896faac23dae4c42f26ec6a36.png

 

Alors ici on a

 

av  : qui est l'énergie de liaison en volume 

as : qui est l'énergie superficielle, car les nucléons en surface sont moins liés que ceux en profondeur

ac : énergie coulombienne, qui est une perte d'énergie dûes à une répulsion électrostatique des mêmes charges entre elles

 

Les deux derniers viennent d'un ordre quantique des choses : 

aa : énergie d'asymétrie qui est augmentée par un excès de neutrons. Les noyaux lourds ont en effet besoin d'un surplus de neutrons pour que l'interaction force contrebalance la répulsion électrostatique : on a donc pour des noyaux lourds une asymétrie entre le nombre de N/Z. 

 

ap : énergie d'appariement, qui peut être positive quand le spin du noyau est demi entier car ces noyaux là ont tendance à s'agréger deux à deux (pour former un truc pair)

{\displaystyle E_{p}=a_{p}\left\{{\begin{matrix}+A^{-{\frac {1}{2}}}&{\mbox{cas pair-pair (A pair, Z pair, N pair) }}\;\;\;\;\;\;\;\;\\0&{\mbox{cas pair-impair (A impair, Z  et N de parité différente)}}\;\;\;\;\\-A^{-{\frac {1}{2}}}&{\mbox{cas impair-impair (A pair, Z impair, N impair) }}\end{matrix}}\right.}

Les noyaux ayant un nombre pair de nucléons, neutrons et protons sont plus stables que ceux ayant un nombre impair de nucléons eux-mêmes plus stables que ceux ayant un nombre pair de nucléons et impair de neutrons et protons. 

 

Voilà, dis moi si tu as encore des questions! 

image.png

Join the conversation

You can post now and register later. If you have an account, sign in now to post with your account.
Note: Your post will require moderator approval before it will be visible.

Guest
Reply to this topic...

×   Pasted as rich text.   Paste as plain text instead

  Only 75 emoji are allowed.

×   Your link has been automatically embedded.   Display as a link instead

×   Your previous content has been restored.   Clear editor

×   You cannot paste images directly. Upload or insert images from URL.

  • Recently Browsing   0 members

    • No registered users viewing this page.
×
×
  • Create New...
Radio