Jump to content

RMN qcm poly cours numéro 23


Go to solution Solved by sarah1331,

Recommended Posts

Posted

Bonjour à tous, me revoilà (encore....) sur le forum physique. Cette fois ci à propos de RMN.

 

J'ai donc fait le qcm numéro 23 du poly du cours mais je ne comprends pas la correction. A propos des deux derniers items, il est compté juste le D et donc le E faux. Hors en faisant mes calculs, j'étais arrivée à la conclusion que le E était juste car j'avais trouvé que M=0,82Mo à T=140ms. Je met l'image de l'énoncé pour que vous puissiez m'aider et m'expliquer parce que là je vois pas du tout ... <_<

 

https://image.noelshack.com/fichiers/2017/51/5/1513957597-win-20171222-16-45-41-pro.jpg

 

Bonne journée et merci d'avance :wub:

Posted

Tu utilises la formule Mz(90 degrés) = M * ( 1 - e^(-t/T1)) tu remplaces : M * (1 - e^ (-140/700) et tu trouves (1- e^-0,2) et d'après le formulaire e^-0,2 = 0,82 donc tu reprends ta formule et tu fais M*(1-0,82) = 0,18 M

Posted

Oui mais justement pourquoi est-ce qu'on doit faire M*(1-0,82) ? 

Pour moi la premiere formule permet de répondre à la question, surtout que dans d'autres exos de TD on s'y arrêtait il me semble

  • Solution
Posted

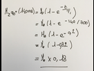
Bonjour, voici le calcul : 

1514038685-img-4894.png

Est ce que quelque chose te pose problème dans tout ca ? (j'ai pas bien compris ton probleme dans ton deuxième message...)

Posted

Si ta question c'est pourquoi on n'utilise pas la formule Mz (t0) = M0 cos(P), c'est parce que cette formule s'applique seulement à t0 or la on te précise t=140ms donc tu as le choix entre les deux dernières formules qui sont équivalentes car cos90 = 0.

Posted

Oula je viens de comprendre, l'erreur vient de moi dès le début, en voulant faire les calculs trop vite j'en ai oublié de soustraire l'exponentielle à 1 ...  Désolée j'ai paniqué et regardé trop vite sans revenir à la base de la formule :unsure: ... Merci à vous deux et joyeuses fêtes  :)

Join the conversation

You can post now and register later. If you have an account, sign in now to post with your account.
Note: Your post will require moderator approval before it will be visible.

Guest
Reply to this topic...

×   Pasted as rich text.   Paste as plain text instead

  Only 75 emoji are allowed.

×   Your link has been automatically embedded.   Display as a link instead

×   Your previous content has been restored.   Clear editor

×   You cannot paste images directly. Upload or insert images from URL.

  • Recently Browsing   0 members

    • No registered users viewing this page.
×
×
  • Create New...
Radio