Jump to content

La réaction mystère


Go to solution Solved by Oga,

Recommended Posts

Posted

Bonjour,

 

Petit coup de panique en ayant voulu résoudre ce QCM et en ayant vu la correction ! Après quelques recherches sur le forum, il s'est avéré que la molécule D était un ether cyclique, dont la réaction n'est tout simplement pas dans le cours ... (même si ça ressemble aux lactones)

Je me demandais si en concours, il était possible qu'on ait comme ça une réaction qui ne soit pas dans le cours mais qu'elle soit censée être trouvée par réflexion ?

Enfin pour moi ce n'est pas dans le cours mais j'ai peut être loupé un passage !

 

Bonne soirée à tous :)

Posted

Salut ! 

tu l'as pas trouvé dans le poly d'entrainement d'ED j'espère ??

  • Solution
Posted

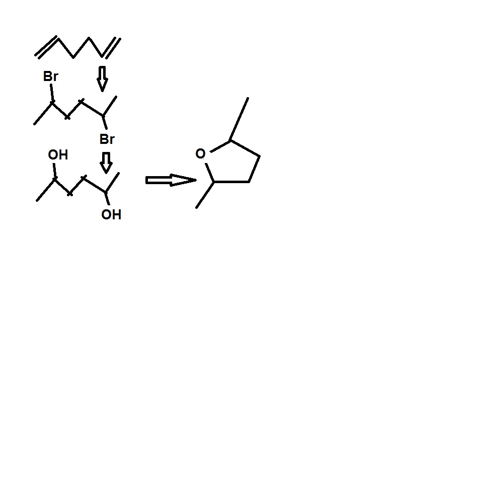
Bonjour à toi,

 

J'avais moi-même posé la question au chargé TD de chimie car je n'arrivais pas à trouver les réponses. Il m'a dit clairement que c'était trop dur mais que la prof ne changeait pas les TDs chaque année.

Je te mets ce qu'il m'avait dessinée en image jointe.

 

Bonne journée

post-10470-0-39674900-1512923133_thumb.jpg

Posted

Bonjour à toi,

 

J'avais moi-même posé la question au chargé TD de chimie car je n'arrivais pas à trouver les réponses. Il m'a dit clairement que c'était trop dur mais que la prof ne changeait pas les TDs chaque année.

Je te mets ce qu'il m'avait dessinée en image jointe.

 

Bonne journée

Oui oui c'est bien ça, un ether cyclique !

Merci pour ta contribution, c'est rassurant !

 

Bonne soirée à toi :)

Posted

Bonjour,

 

Après quelques recherches sur le forum, tu aurais dû voir que cette réaction a déjà été traitée dans d'autres sujets, notamment ici.

Il s'agit en effet d'une cyclisation, mécanisme auquel il faut toujours penser dans un δ ou un γ-diol.

Guest
This topic is now closed to further replies.
  • Recently Browsing   0 members

    • No registered users viewing this page.
×
×
  • Create New...