Jump to content

Poly de mars, sujet n°3, question 2, item E


Go to solution Solved by Emem,

Recommended Posts

Posted

Salut 😊

 

J'arrive pas à comprendre la correction de la question 2 par rapport à l'item E: Capturadeecr2024-03-06181729.png.2a59bc1f98a15d80335a4105b1336250.png

 

Au niveau de la correction, on nous dit que c'est vrai alors que pour moi c'est faux car l'élement qui verra son activité divisé par 4 au bout de 12 jours c'est Leodicaprium-69 et aussi car l'activité de bradpittium-69m sera divisé par 4 au bout de 12h, non?  

Après en regardant sur le forum je crois qu'il y a avait eu un soucis avec le tableau et que les période de bradpittium-69m et bradpittium-69 aurait du être inversé mais dans tout les cas ça change rien si je ne me trompe pas. 

 

  • Ancien Responsable Matière
  • Solution
Posted

Coucou, 

 

Désolé pour la réponse tardive 😅

 

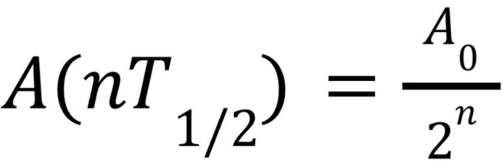
C’est effectivement un errata. Petit rappel sur le calcul de l’activité : Designsanstitre.jpg.c2627970a751984d9df1c036bb13adb5.jpg

  • Pour le Bradpittium-69m qui a une période de 6h : au bout de 12 jours, l’activité sera divisée par 2n avec n le nombre de période. Pour 12 jours (= 288 h), il y a 288/6 = 48 périodes. Donc l’activité sera divisée par 248 ≈ 2,81 x 1014 (bien sûr, pas calculable de tête, c’était pour te montrer que c’est bien plus grand que 2 ou 4 😉). 
  • Pour le Leodicaprium-69 avec une période de 144h : pour 12 jours (= 288 h), il y a 288/144 = 2 périodes. Donc l’activité sera divisée par 22 = 4. Tu avais tout à fait raison pour cet isobare. 😁

 

Tu as très bien compris le fonctionnement de la loi de décroissance 😉. N’hésite pas à poser des questions si tu n’as pas compris quelque chose. 

 

Bonne soirée. 

Biophybise 😍

Join the conversation

You can post now and register later. If you have an account, sign in now to post with your account.
Note: Your post will require moderator approval before it will be visible.

Guest
Reply to this topic...

×   Pasted as rich text.   Paste as plain text instead

  Only 75 emoji are allowed.

×   Your link has been automatically embedded.   Display as a link instead

×   Your previous content has been restored.   Clear editor

×   You cannot paste images directly. Upload or insert images from URL.

  • Recently Browsing   0 members

    • No registered users viewing this page.
×
×
  • Create New...
Radio