Jump to content

Recommended Posts

Posted (edited)

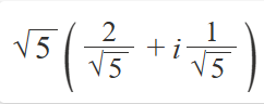
bonjourr, j'ai l'impression de devenir folle, mais pour moi cet item (compté comme vrai) est faux

image.png.fdb952e96f098ffc2292e683c253390e.png

pour moi là je calcule la norme de z avec racine de (2^2 + 1^2) ce qui me donne racine de 5 et pas 1/(racine de 5)

et du coup ensuite on obtient image.png.5ce454b60ff8c858b3d06e1e5c683abd.png et dcp image.png.71b81d4f9854fa476704d93a94c66415.png

parce que pour moi si on fait avec 1/racine de 5 ben quand on fait le calcul dans l'autre sens on retombe pas sur z mais sur 2/5 + ix1/5

bref j'ai beau refaire j'arrive pas à voir mon erreur si jamais quelqu'un peut m'aider 

mercii

image.png

Edited by passtabox
Posted

Salut! j'ai un peu l'impression qu'il y a eu des pb avec ces qcm sup de toute façon, ils ont été enlevés de moodle... 

 

En tout cas je suis d'accord avec toi pour dire qu'il a un pb avec cet item

Déjà là il nous montre une forme exponentielle et non une trigo?

En plus comme tu l'as montré, le résultat à l'air bien faux... Je trouve comme toi à la fin

 

Bref je pense qu'il ne faut pas trop s'y attarder il semblerait qu'il y ait des erreurs

Join the conversation

You can post now and register later. If you have an account, sign in now to post with your account.
Note: Your post will require moderator approval before it will be visible.

Guest
Reply to this topic...

×   Pasted as rich text.   Paste as plain text instead

  Only 75 emoji are allowed.

×   Your link has been automatically embedded.   Display as a link instead

×   Your previous content has been restored.   Clear editor

×   You cannot paste images directly. Upload or insert images from URL.

  • Recently Browsing   0 members

    • No registered users viewing this page.
×
×
  • Create New...