charlotte.p Posted February 16, 2024 Posted February 16, 2024 Bonjour, je ne comprends pas pourquoi l'item A est vrai ? https://ibb.co/Sw5t94B Finalement, c'est tout le qcm que je ne comprends pas. Quote
Maaaat Posted February 16, 2024 Posted February 16, 2024 Salut @charlotte.p je pense qu'il faut faire comme ça : Voilà j'espère que ça t'aidera : ) Quote
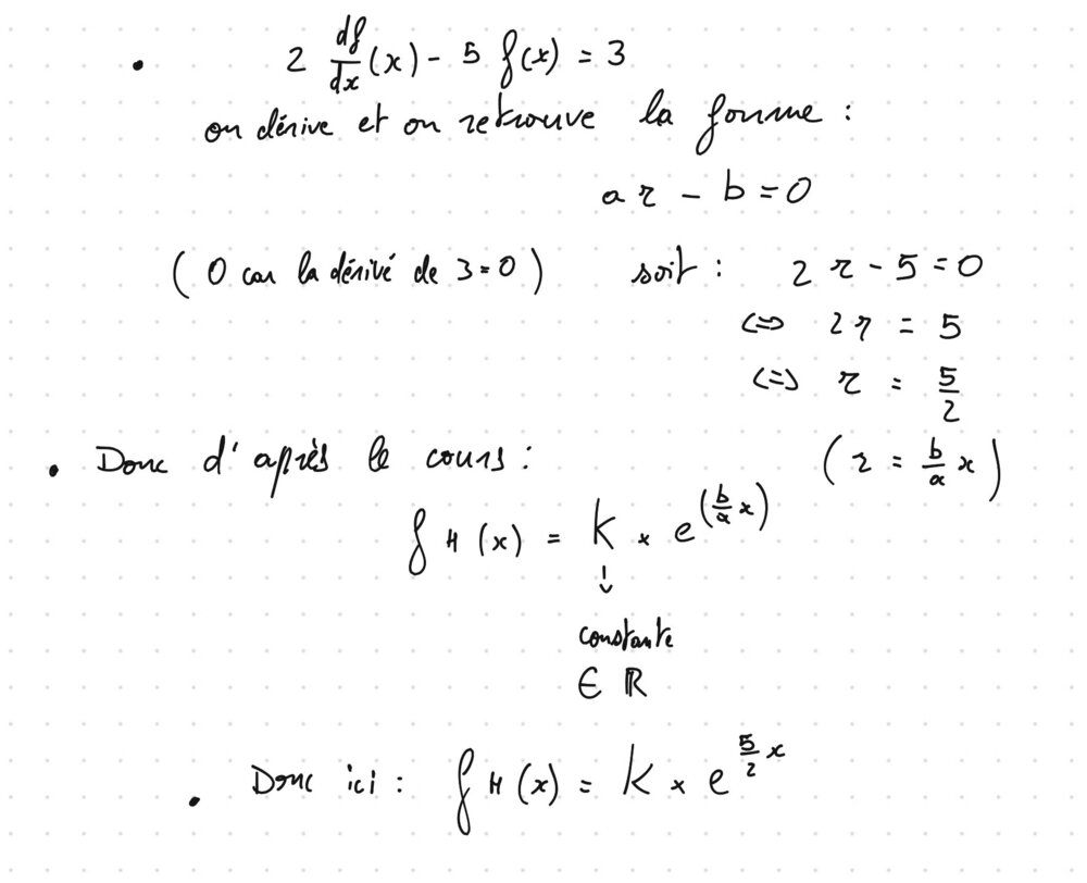
charlotte.p Posted February 16, 2024 Author Posted February 16, 2024 Super, merci. Ce que je n'avais pas compris c'est qu'on devait dériver le 3. Maaaat 1 Quote
Recommended Posts
Join the conversation
You can post now and register later. If you have an account, sign in now to post with your account.
Note: Your post will require moderator approval before it will be visible.