Jump to content

Recommended Posts

  • Ancien Responsable Matière
Posted

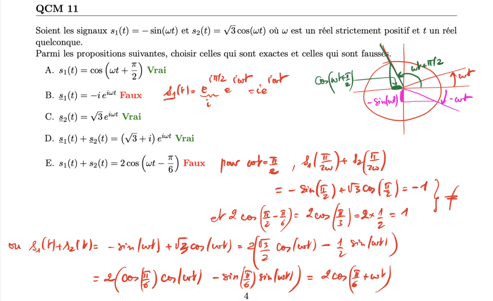
Salut. s1t en complexe c'est e^(i*omega*t+pi/2) car -sin x c'est sin -x

soit sin(pi/2-pi/2-x)

d'où sin(pi/2-(pi/2+x))

donc cos(x+pi/2) et la forme complexe de ça c'est e^(i*omega*t+pi/2) par définition, cos(x+pi/2) étant sa partie réelle.

Ensuite s2t ça donne racine de 3 fois e^(i*omega*t) tu fais la somme des deux puis tu factorise par e^(i*omega*t) ça donne e^(i*omega*t) facteur de e^(i*pi/2) + racine de 3.

e^(i*pi/2) c'est i donc tu tombes sur le bon résultat.

J'espère que c'est plus clair, hésite pas sinon.

Posted

Salut alors j'ai pas trop compris comment tu passes des différents sinus à la forme complexe . Si tu as 5 min je viens bien que tu essaies de me reexpliquer. 

Join the conversation

You can post now and register later. If you have an account, sign in now to post with your account.
Note: Your post will require moderator approval before it will be visible.

Guest
Reply to this topic...

×   Pasted as rich text.   Paste as plain text instead

  Only 75 emoji are allowed.

×   Your link has been automatically embedded.   Display as a link instead

×   Your previous content has been restored.   Clear editor

×   You cannot paste images directly. Upload or insert images from URL.

  • Recently Browsing   0 members

    • No registered users viewing this page.
×
×
  • Create New...