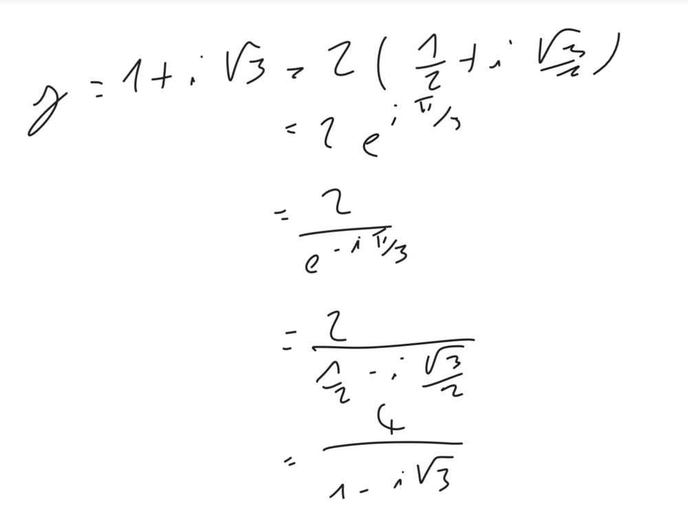
Naëlatence Posted February 8, 2024 Posted February 8, 2024 Salut, je ne comprends pas pourquoi l’itemB du qcm 4 est compté faux, moi je l’aurai mis vrai La correction, et ce que j’ai fait : https://docs.google.com/document/d/18S4MSayVZHliVarWE5wDd12oOknJnA0GKUZeYqXDTjA/edit?usp=sharing merci d’avance pour vos réponses ! Quote
Élu Etudiant Solution OlivierP Posted February 14, 2024 Élu Etudiant Solution Posted February 14, 2024 Salut @Naëlatence, voici le détail du calcul, hésite pas si tu as des questions. Naëlatence 1 Quote
Recommended Posts
Join the conversation
You can post now and register later. If you have an account, sign in now to post with your account.
Note: Your post will require moderator approval before it will be visible.