Jump to content

Aide correction sujet concours 2023


Go to solution Solved by PASS_out,

Recommended Posts

Posted

Bonsoir, 

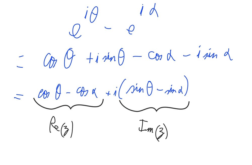
Je n'arrive pas à comprendre la correction du prof pour le D de la question 5. 

Est-ce que quelqu'un pourrait m'aider avec les détails du raisonnement s'il vous plaît ?

 

Merci !

 

image.png.dac4b8dd9d50ead32797ac6ccdff7b2d.png

  • Solution
Posted

Pour moi il n'y a aucune relation entre θ  et α donc on ne peut rien faire d'autre que de le développer classiquement (à mon avis il a fait n'importe quoi dans sa correction)

Notes.jpg

Join the conversation

You can post now and register later. If you have an account, sign in now to post with your account.
Note: Your post will require moderator approval before it will be visible.

Guest
Reply to this topic...

×   Pasted as rich text.   Paste as plain text instead

  Only 75 emoji are allowed.

×   Your link has been automatically embedded.   Display as a link instead

×   Your previous content has been restored.   Clear editor

×   You cannot paste images directly. Upload or insert images from URL.

  • Recently Browsing   0 members

    • No registered users viewing this page.
×
×
  • Create New...