Jump to content

Theme 2 - QCM 6 - item C


Go to solution Solved by davidd,

Recommended Posts

Posted

Salut,

 

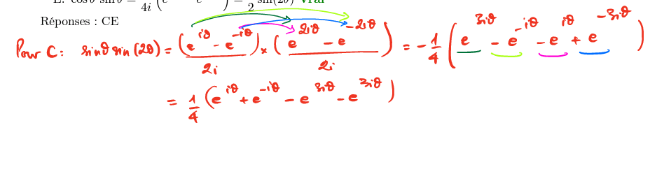
Pour la correction de cet item, je n'arrive pas à comprendre ou est passé le 2i. Est ce que c'est parce que: i²=-1 ?

 

yxgn.png

merci

 

 

  • Ancien Responsable Matière
  • Solution
Posted (edited)

C'est 2i*2i = -4 or la c'est au denominateur donc ils ont factoriser par -1/4 Donc oui tu as tout bon 

Edited by davidd
Posted
Just now, davidd said:

C'est 2i*2i = -4 or la c'est au denominateur donc ils ont factoriser par -1/4 Donc oui tu as tout bon 

merci

Join the conversation

You can post now and register later. If you have an account, sign in now to post with your account.
Note: Your post will require moderator approval before it will be visible.

Guest
Reply to this topic...

×   Pasted as rich text.   Paste as plain text instead

  Only 75 emoji are allowed.

×   Your link has been automatically embedded.   Display as a link instead

×   Your previous content has been restored.   Clear editor

×   You cannot paste images directly. Upload or insert images from URL.

  • Recently Browsing   0 members

    • No registered users viewing this page.
×
×
  • Create New...