Jump to content

Mécanique (Analyse dimensionnelle)


Go to solution Solved by POMME,

Recommended Posts

Posted

Bonjour, j'ai besoin d'aide. Je ne comprends pas comment résoudre l'exercice 3 ci-joint, même en ayant vu la correction (surtout la question 1 je ne comprends pas comment on trouve la dimention de Ft).

 

Merci d'avance.

 

image.png.f4b5399a21fec439f6ae8213bd0a3ae4.png

 

image.png.1bf96dbd053ffbce550f710bd6855446.png

  • Responsable Matière
Posted
il y a 14 minutes, Sara.23 a dit :

surtout la question 1 je ne comprends pas comment on trouve la dimention de Ft)

dans l'énoncé on te dit que Ft est une force, donc soit t'as appris par coeur sa dimension au s1 soit tu la retrouves comme le prof nous l'a démontré mais c'est une perte de temps

  • Ancien Responsable Matière
  • Solution
Posted (edited)

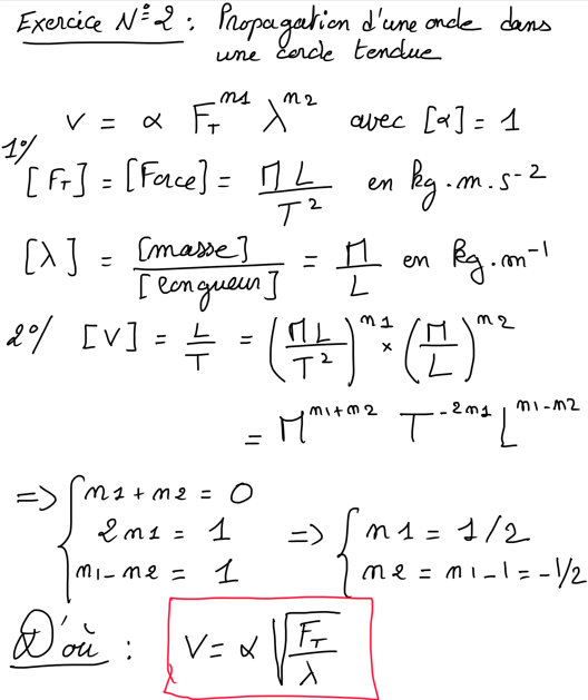
Salut, alors déjà pour la dimension de Ft, on te dit que c’est une force donc Ft à la dimension d’une force soit M.L.T^-2.

 

Pour la suite, je t’ai fait une petite correction faite comme le veux le prof et peut-être un peu plus détaillé : 

 

spacer.png

 

J’espère que ça pourra t’aider et si tu as d’autres question surtout n’hésite pas.😉

Edited by POMME
Posted

salut @Sara.23 pour la correction comme elle est demandé sur le Td il faut faire ça (je pense que la méthode utilisé ici est pour ceux qui partiront en LA.S 2 méca, le jour du concours il vaut mieux ce que @POMME a envoyé):

 

Comme @Sanchez la dit, pour le 1) il vaut mieux connaitre la dimension de la force. Ensuite pour la Q2, il faut savoir que la vitesse V = L (longueur en m) * Tˆ-1 ( temps en seconde - 1) il faut aussi savoir (avec ce que tu as trouvé dans l'énoncé 1)  Ft = M (masse en Kg) * L * Tˆ-2 (L.T-2 = l'accélération) puis Lambda = M * Lˆ-1. Une fois que tu as tout cela tu fais : V = Ft . Lambda soit V = M.L.Tˆ-2 * M.Lˆ-1 , ensuite tu nomme les exposants pour Ft avec n1 et pour Lambda avec n2, soit V = (M ˆn1 . L ˆn1 . T ˆn1-2) *( M ˆn2 . L ˆn2-1 ), tu rassemble alors M ensemble et les L ensemble vu qu'ils sont en double soit M ˆn1+n2 . L ˆn1+n2-1 . T ˆ-2n1 tu peut alors poser les équations :

  • M --> 0 = n1 + n2  => 0
  • L --> 1 ( car dans V on a 1 fois L et 1 fois T) = n1 -  n2  => n2 = n1-1 = -1/2
  • T -->  1 = 2n1 => n1 = 1/2 

On a donc V = alpha * L ˆ-1/2 (donc sera un dénominateur car négatif) * T ˆ1/2 ( donc sera un numérateur) soit V = alpha * Racine Carré de Ft/lambda 

 

voilà jsp si c'est plus claire pour toi . 

Join the conversation

You can post now and register later. If you have an account, sign in now to post with your account.
Note: Your post will require moderator approval before it will be visible.

Guest
Reply to this topic...

×   Pasted as rich text.   Paste as plain text instead

  Only 75 emoji are allowed.

×   Your link has been automatically embedded.   Display as a link instead

×   Your previous content has been restored.   Clear editor

×   You cannot paste images directly. Upload or insert images from URL.

  • Recently Browsing   0 members

    • No registered users viewing this page.
×
×
  • Create New...
Radio