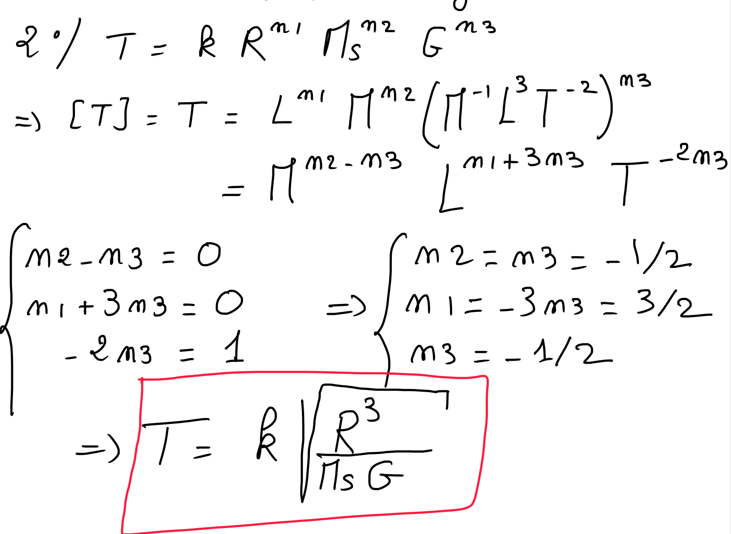
Tuteur Arthur.dgr Posted January 8, 2024 Tuteur Posted January 8, 2024 Bonjour en gros j'explique je suis entrain de faire le premier TD de méca et je bloque tout le temps au moment où l'on doit retrouver la formule Enfaite j'arrive a faire tout mais je ne comprend pas comment on retrouve se qui est encadré en rouge dans le screen ci-dessous (je met l'ex et la correction) c'est le petit 2 Quote
Ancien Responsable Matière YannickCouNiTat Posted January 8, 2024 Ancien Responsable Matière Posted January 8, 2024 Salut @Arthur.dgr ! Bon, j’avais pas la mineure Méca l’an dernier, mais comme l’Analyse dimensionnelle ça me connaît, je me permets d’y répondre :) Ton raisonnement est en fait tout bon ! La petite étape qui te manque pour passer des résultats que tu as trouvé pour n1, n2 et n3, c’est de savoir qu’une valeur à la puissance 1/2 est simplement la racine carré de cette même valeur ! De la même façon, une puissance 1/3 est à la racine cube etc. Ainsi, x^(a*1/2) = sqrt(x^a). C’est plus clair ? :) Quote
Tuteur Arthur.dgr Posted January 8, 2024 Author Tuteur Posted January 8, 2024 Je vois merci beaucoup pour ta réponse mais ce que je ne vois pas du tout c'est pourquoi c'est R^3 / Ms*T ?? c'est la que je bloque enfaite Quote
Ancien Responsable Matière Solution YannickCouNiTat Posted January 8, 2024 Ancien Responsable Matière Solution Posted January 8, 2024 il y a 8 minutes, Arthur.dgr a dit : Je vois merci beaucoup pour ta réponse mais ce que je ne vois pas du tout c'est pourquoi c'est R^3 / Ms*T ?? c'est la que je bloque enfaite C'est ce que je t'ai expliqué ! Prenons chacune des grandeurs séparément, tu vas mieux comprendre :) Rn1 = R3/2 = R3*1/2 ; Hors, x1/2 = √(x), donc : R3*1/2 = √(R3). Msn2 = Ms-1/2 = Ms-1*1/2 = √(Ms-1) = √(1/Ms) Gn3 = G-1*1/2 = √(1/G) En combinant tout ça, tu obtiens donc √(R3)*√(1/Ms)*√(1/G), ce qui revient à √(R3/(Ms*G)) C'est plus clair ? :) POMME and Arthur.dgr 1 1 Quote
Tuteur Arthur.dgr Posted January 8, 2024 Author Tuteur Posted January 8, 2024 Ok je comprend mieux avec cette explication merci beaucoup de ton aide c'est plus clair YannickCouNiTat 1 Quote
xlala Posted January 10, 2024 Posted January 10, 2024 Le 08/01/2024 à 17:26, Arthur.dgr a dit : Ok je comprend mieux avec cette explication merci beaucoup de ton aide c'est plus clair Bonjour, T'as trouvé où le TD?? J'ai regardé sur FSI et j'ai pas trouvé. Mercii! Quote
Tuteur Arthur.dgr Posted January 10, 2024 Author Tuteur Posted January 10, 2024 il y a 11 minutes, xlala a dit : Bonjour, T'as trouvé où le TD?? J'ai regardé sur FSI et j'ai pas trouvé. Mercii! Tiens le lien qui t'envoie directement la où il y a tout les TD et correction https://moodle.univ-tlse3.fr/mod/folder/view.php?id=279103 xlala 1 Quote
xlala Posted January 10, 2024 Posted January 10, 2024 il y a 20 minutes, Arthur.dgr a dit : Tiens le lien qui t'envoie directement la où il y a tout les TD et correction https://moodle.univ-tlse3.fr/mod/folder/view.php?id=279103 Parfait, merci bcp!! Arthur.dgr 1 Quote
Yeageriste Posted January 10, 2024 Posted January 10, 2024 Le 08/01/2024 à 11:51, Arthur.dgr a dit : Bonjour en gros j'explique je suis entrain de faire le premier TD de méca et je bloque tout le temps au moment où l'on doit retrouver la formule Enfaite j'arrive a faire tout mais je ne comprend pas comment on retrouve se qui est encadré en rouge dans le screen ci-dessous (je met l'ex et la correction) c'est le petit 2 Bonsoir, du coup je veux revenir sur ça, ma question peut paraître un peu bête mais comment est-ce que l'on sait que par exemple n2 - n3 = 0 ? C'est parce que dans la dimension du temps il n'y a pas la masse ? Pareil pour la longueur avec n1 + 3n3 = 0 ? Quote
Tuteur Arthur.dgr Posted January 10, 2024 Author Tuteur Posted January 10, 2024 Salut alors en gros tu as ton résultat qui doit être T et dans ton calcul tu as M L et T OR tu ne veux pas M et L donc la puissance sera 0 donc n2-n3 sera égal à 0 et n1+3n3 = 0 aussi comme ça tu as que la dimension T donc en seconde Je sais pas si c'est clair ? Yeageriste 1 Quote
PASS1234 Posted January 11, 2024 Posted January 11, 2024 Bonjour tout le monde, je bloque sur un truc tout bête mais comment on sait ce que l'on met au numérateur et au dénominateur ( par rapport à ce qui est écrit dans l'encadré en rouge ) Merci d'avance Quote
Yeageriste Posted January 11, 2024 Posted January 11, 2024 coucou, normalement c'est en fonction du signe je crois, si c'est négatif c'est au dénominateur et si c'est positif c'est au numérateur. Quote
Tuteur Arthur.dgr Posted January 11, 2024 Author Tuteur Posted January 11, 2024 (edited) Salut alors pour essayer de t'expliquer en gros R = L Ms = M G = M-1. L3. T-2 Ici tu cherches un résultat qui est juste T Donc tu as R3 Donc il faut diviser R3 = L3 par L-3 ça tombe bien G il a L3 donc tu le met au dénominateur ensuite si tu as G au dénominateur il faut enlever le M-1 de G donc tu met au Ms au dénominateur Donc la il te reste 1/T-2 Or 1/T-2 = T2 Donc la racine carré et HOP tu as T Je sais pas si c'est clair ou pas du tout Edited January 11, 2024 by Arthur.dgr Quote
PASS1234 Posted January 11, 2024 Posted January 11, 2024 En vrai je crois que ça va , merci !!! Arthur.dgr 1 Quote
Recommended Posts
Join the conversation
You can post now and register later. If you have an account, sign in now to post with your account.
Note: Your post will require moderator approval before it will be visible.