Jump to content

primitive fraction avec cos


Go to solution Solved by Lulu_le_Fou,

Recommended Posts

Posted (edited)

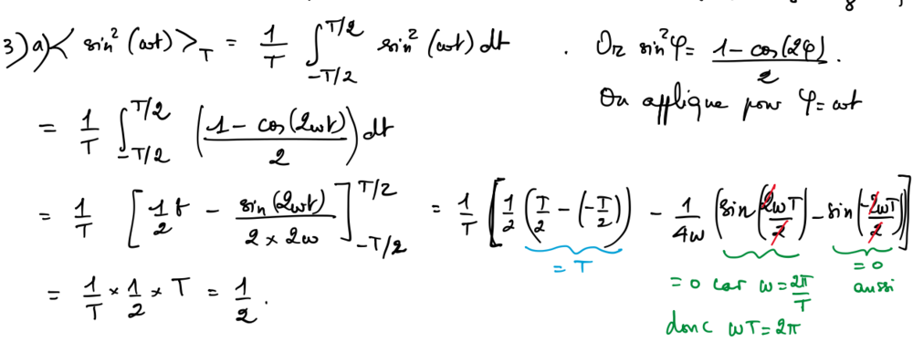
Bonjour, je suis bloquée au calcul de la primitive de f(x) dans cette exercice (thème 2 exercice 4) : 

image.thumb.png.e9ba2791f027a0ab40539e1f6988c91e.png

Je ne sais pas comment on calcule la primitive de cos(2wt)/2 : je vois pour quoi il y a sin (c'est la primitive de cos) mais c'est la fraction qui me gène ; je n'ai jamais vue ca haha

Je viens de voir une question similaire a la mienne sur le forum, la réponse étant : 

Alors on part ici du fait que -sin(2wt) est une fonction composée de -sin et de 2wt. Donc quand on va dérivé ça, on va se retrouvé avec  -2w*cos(2wt).

En mettant ce 2w au dénominateur, ça va nous permettre en dérivant de tomber uniquement sur -cos(2wt)/2.

Je comprends mieux : c'est comme si on dérivait une exponentielle ? Ce qui est dans la parenthèse on le dérive puis il passe en multiplicateur puis on change sin par cos ? 

Si quelqu'un pouvait m'éclairer

Merci ! 

Edited by mathoulematou
  • Ancien Responsable Matière
  • Solution
Posted
il y a une heure, mathoulematou a dit :

Bonjour, je suis bloquée au calcul de la primitive de f(x) dans cette exercice (thème 2 exercice 4) : 

image.thumb.png.e9ba2791f027a0ab40539e1f6988c91e.png

Je ne sais pas comment on calcule la primitive de cos(2wt)/2 : je vois pour quoi il y a sin (c'est la primitive de cos) mais c'est la fraction qui me gène ; je n'ai jamais vue ca haha

Je viens de voir une question similaire a la mienne sur le forum, la réponse étant : 

Alors on part ici du fait que -sin(2wt) est une fonction composée de -sin et de 2wt. Donc quand on va dérivé ça, on va se retrouvé avec  -2w*cos(2wt).

En mettant ce 2w au dénominateur, ça va nous permettre en dérivant de tomber uniquement sur -cos(2wt)/2.

Je comprends mieux : c'est comme si on dérivait une exponentielle ? Ce qui est dans la parenthèse on le dérive puis il passe en multiplicateur puis on change sin par cos ? 

Si quelqu'un pouvait m'éclairer

Merci ! 

Salut ;)

 

Oui tu as totalement compris, c'est comme ça qu'on dérive une fonction composée sinus ou cosinus : on dérive ce qu'il y a entre parenthèses, puis on le met en facteur devant, effectivement c'est le même principe pour l'exponentielle, la logarithmique, la racine... 

Voici un tableau illustratif avec la dérivation des fonctions composées !

image.png.7e5c5ec641deedcb94ae2fecdff2d827.png

 

Pour la primitive, tu fais donc le chemin inverse ! 

 

J'espère que ça répond à ta question, bonne fin de vacances 🥰

Posted

Super merci ! 

Est ce que tu sais ou je pourrais trouver des qcms d'entrainements ? Les exos de cours me semblent bien plus compliqués que les qcms et sur le drive que j'ai trouvé il y a moins de 10 qcms par thèmes, je sais pas trop a quoi le fier 

 

  • Ancien Responsable Matière
Posted
Il y a 19 heures, mathoulematou a dit :

Super merci ! 

Est ce que tu sais ou je pourrais trouver des qcms d'entrainements ? Les exos de cours me semblent bien plus compliqués que les qcms et sur le drive que j'ai trouvé il y a moins de 10 qcms par thèmes, je sais pas trop a quoi le fier 

 

Je réponds un peu tard j'avais pas vu (d'ailleurs n'hésite pas à m'id pour aller plus vite ;) 

Les qcms d'entrainement seront dispos sur moodle normalement, et oui les exos du cours sont en général plus compliqués (c'est pourquoi le plus important c'est les QCMs) mais bon essaie au moins de faire une fois les exos du fasicule, on a eu quelques surprises l'an dernier à l'annale...

 

Bon courage ! 

Join the conversation

You can post now and register later. If you have an account, sign in now to post with your account.
Note: Your post will require moderator approval before it will be visible.

Guest
Reply to this topic...

×   Pasted as rich text.   Paste as plain text instead

  Only 75 emoji are allowed.

×   Your link has been automatically embedded.   Display as a link instead

×   Your previous content has been restored.   Clear editor

×   You cannot paste images directly. Upload or insert images from URL.

  • Recently Browsing   0 members

    • No registered users viewing this page.
×
×
  • Create New...