Jump to content

pile


Go to solution Solved by NIcotine,

Recommended Posts

Posted

Bonsoir,

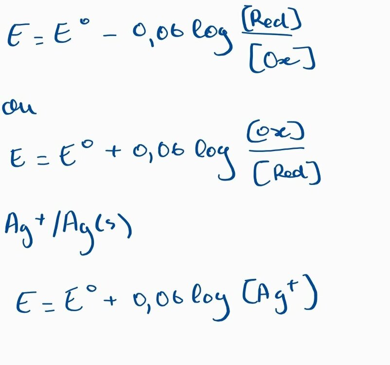
QCM 5 - Soit la pile formée uniquement par le couple Ag +/ Ag présent dans chaque compartiment : Dans le compartiment a : avec [Ag + ] = 10 -1 mol.L -1 Dans le compartiment b : avec [Ag + ] = 10 -3 mol.L -1 On donne E 0 Ag /Ag = 0,80 V et 2,3 RT/F = 0,06 V

A. L'oxydant réagit avec le réducteur seulement si le potentiel de l'oxydant est supérieur au potentiel du réducteur.

B. Quand E > 0 alors G > 0.

C. Ea = - 0,74 V.

D. Eb = 0,62 V.

E. La force électromotrice est égale à 1,36 V.


correction : AD

 

Alors en gros j'comprends pas la D, d'ou sort le + de leur equation ?
D. VRAI. Eb = 0,80 + 0,06 log(10 -3 ) = 0,62 V

  • Ancien Responsable Matière
  • Solution
Posted

Salut ! 

Je t'ai mis en pièce jointe la formule.

Si tu as des question n'hésites pas !

Bon courage !

SmartSelect_20231204_214509_Samsung Notes.jpg

Posted
il y a 16 minutes, NIcotine a dit :

Salut ! 

Je t'ai mis en pièce jointe la formule.

Si tu as des question n'hésites pas !

Bon courage !

SmartSelect_20231204_214509_Samsung Notes.jpg

salut, c'est quoi la force électromotrice (et quel est le calcul pour la trouver stp) ?

  • Ancien Responsable Matière
Posted

Salut ! 

il y a 4 minutes, lefuturneurochir a dit :

salut, c'est quoi la force électromotrice (et quel est le calcul pour la trouver stp) ?

La fem (force électromotrice) c'est une différence de potentiel, elle est positive ou nulle mais jamais négative.

La formule fem : 

fem = ∆E° = E° (couple oxydant) - E° (couple réducteur)

Posted
Il y a 10 heures, NIcotine a dit :

Salut ! 

La fem (force électromotrice) c'est une différence de potentiel, elle est positive ou nulle mais jamais négative.

La formule fem : 

fem = ∆E° = E° (couple oxydant) - E° (couple réducteur)

t'es trop style merci bcp !

Join the conversation

You can post now and register later. If you have an account, sign in now to post with your account.
Note: Your post will require moderator approval before it will be visible.

Guest
Reply to this topic...

×   Pasted as rich text.   Paste as plain text instead

  Only 75 emoji are allowed.

×   Your link has been automatically embedded.   Display as a link instead

×   Your previous content has been restored.   Clear editor

×   You cannot paste images directly. Upload or insert images from URL.

  • Recently Browsing   0 members

    • No registered users viewing this page.
×
×
  • Create New...