Jump to content

QCM sur constante d'équilibre biophysique


Go to solution Solved by NIcotine,

Recommended Posts

Posted

bonjour je ne comprend pas comment on peut résoudre ce qcm, pourquoi la A on ne fait pas plutot l'inverse ? c'est a dire -30-(-43) et donc trouver 13, car du coup je suis bloquée a la question A mais ça me bloque pour tout apres

les réponses a ce qcm sont AD

 

Capture d’écran 2023-12-02 à 19.35.28.png

Capture d’écran 2023-12-02 à 19.35.52.png

Posted
il y a 18 minutes, maelyspuech17 a dit :

bonjour je ne comprend pas comment on peut résoudre ce qcm, pourquoi la A on ne fait pas plutot l'inverse ? c'est a dire -30-(-43) et donc trouver 13, car du coup je suis bloquée a la question A mais ça me bloque pour tout apres

les réponses a ce qcm sont AD

 

Capture d’écran 2023-12-02 à 19.35.28.png

Capture d’écran 2023-12-02 à 19.35.52.png

parce que la formule c K1+K2=K3 dcp K1=K3-K2

  • Ancien Responsable Matière
Posted
Le 02/12/2023 à 19:38, maelyspuech17 a dit :

bonjour je ne comprend pas comment on peut résoudre ce qcm, pourquoi la A on ne fait pas plutot l'inverse ? c'est a dire -30-(-43) et donc trouver 13, car du coup je suis bloquée a la question A mais ça me bloque pour tout apres

les réponses a ce qcm sont AD

 

Capture d’écran 2023-12-02 à 19.35.28.png

Capture d’écran 2023-12-02 à 19.35.52.png

 

Coucou ! Je décale ta question en Chimie étant donné qu'elle concerne le chapitre sur la Thermodynamique qui n'est pas un chapitre de Biophysique ;) Bon courage !

  • Ancien Responsable Matière
  • Solution
Posted

Salut ! 

Le 02/12/2023 à 19:38, maelyspuech17 a dit :

bonjour je ne comprend pas comment on peut résoudre ce qcm, pourquoi la A on ne fait pas plutot l'inverse ? c'est a dire -30-(-43) et donc trouver 13, car du coup je suis bloquée a la question A mais ça me bloque pour tout apres

les réponses a ce qcm sont AD

 

Capture d’écran 2023-12-02 à 19.35.28.png

Capture d’écran 2023-12-02 à 19.35.52.png

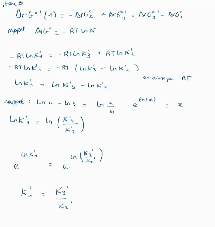
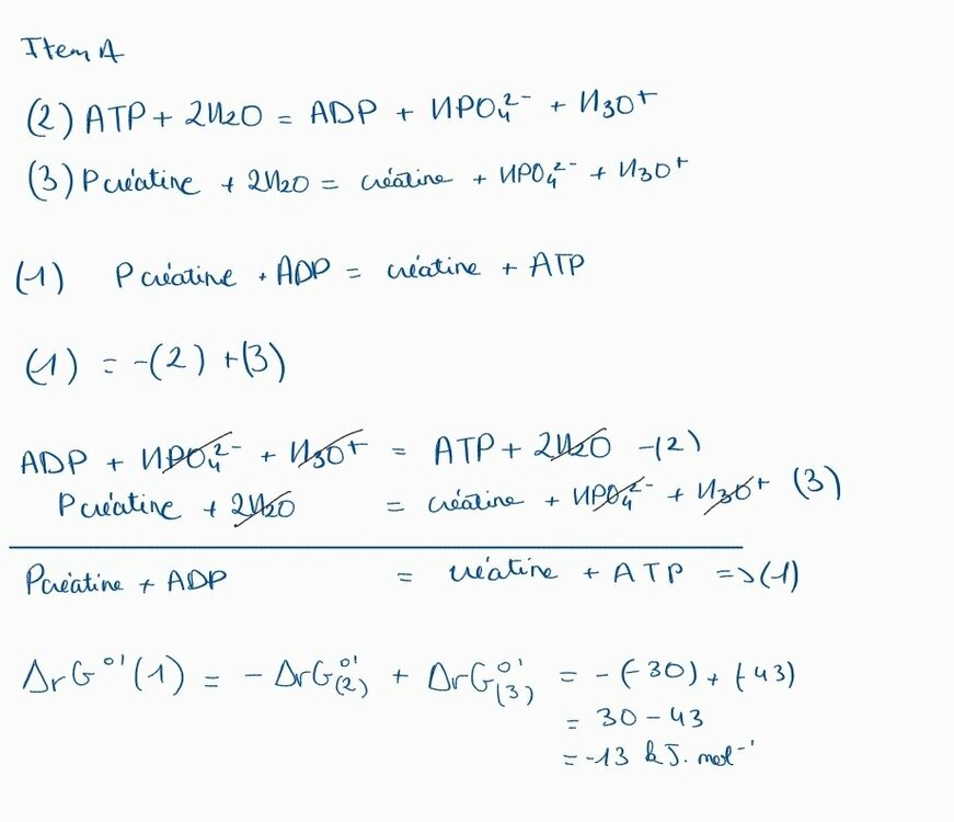
Alors pour l'item A, On parle de réaction de couplage, c'est à dire que l'on va formé la réaction (1) à partir de la réaction (2) et (3).

Je t'ai mis en pièce jointe les explications pour résoudre cette Item. 

 

Le 02/12/2023 à 19:58, shrekito a dit :

parce que la formule c K1+K2=K3 dcp K1=K3-K2

Attention !!! on n'additionne (ou soustrait) jamais les cte K, on peux soit les multipliés soit les divisés. Je t'ai mis en pièce jointe un moyen de résoudre cette item B. 

 

Bon courage pour les révisions !!!

 

SmartSelect_20231204_123534_Samsung Notes.jpg

SmartSelect_20231204_123743_Samsung Notes.jpg

Join the conversation

You can post now and register later. If you have an account, sign in now to post with your account.
Note: Your post will require moderator approval before it will be visible.

Guest
Reply to this topic...

×   Pasted as rich text.   Paste as plain text instead

  Only 75 emoji are allowed.

×   Your link has been automatically embedded.   Display as a link instead

×   Your previous content has been restored.   Clear editor

×   You cannot paste images directly. Upload or insert images from URL.

  • Recently Browsing   0 members

    • No registered users viewing this page.
×
×
  • Create New...