Jump to content

Epreuve 2021/22 QCM 9


Go to solution Solved by Bastitine,

Recommended Posts

Posted

bonjour,dans le qcm 9 épreuve 2021/22 session 1 de chimie.

la correction de l'item B est ainsi: 

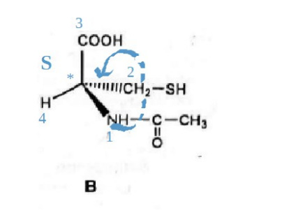
image.png.6e04e80a9c2d05edcf5b5db3f177cff4.png

or,pour moi COOH est plus prioritaire que CH2 car O>H

 

Vous pouvez m'éclaircir svp ?

  • Ancien Responsable Matière
  • Solution
Posted

Salut ! En fait N est premier car numéro atomique plus grand que C, jusque là tout va bi1. Ensuite il faut comparer COOH et CH2SH, et le numéro atomique de S (Z=16) est supérieur à celui de l'oxygène (Z=8)  donc peut importe le nombre de fois que le C du COOH est lié à l'O (ici 3 fois), le grpement CH2SH est prioritaire d'après la règle de classement. J'espère que ça t'a aidé !

 

Posted

Bonjour @Bastitine et @SUmshi 

la priorieté est la suivante pour cette molécule : NH.. > CH2SH > COOH donc comme présenté sur la molécule et l'explication donné ici est juste : 

il y a 2 minutes, Bastitine a dit :

COOH et CH2SH, et le numéro atomique de S (Z=16) est supérieur à celui de l'oxygène (Z=8)  donc peut importe le nombre de fois que le C du COOH est lié à l'O (ici 3 fois), le grpement CH2SH est prioritaire d'après la règle de classement.

 

Posted

merci @Bastitine et @RElisse

mais du coup je pensais qu'il fallait regarder toujours le deuxième atome pour comparer les molécules si les premiers sont identiques (comme C-C ici)

  • Ancien Responsable Matière
Posted
38 minutes ago, SUmshi said:

merci @Bastitine et @RElisse

mais du coup je pensais qu'il fallait regarder toujours le deuxième atome pour comparer les molécules si les premiers sont identiques (comme C-C ici)

Tu as pour COOH : C lié simplement à OH et doublement au deuxième O, OH et O sont donc les atomes à regarder après le C. Pour CH2SH : C lié à deux H par liaisons simples et à un soufre par une liaison simple, donc S et les deux H sont les atomes à regarder après le C. En effet, les atomes de carbones (premiers atomes liés au C*) sont les même atomes donc on regarde les atomes d'après que je viens de décrire et tu trouves que CH2SH est prioritaire. Tu as du mal à voir que le carbone du CH2S est directement lié au S comme le carbone du COOH est directement lié à OH et O ?

Posted (edited)
il y a 10 minutes, Bastitine a dit :

Tu as pour COOH : C lié simplement à OH et doublement au deuxième O, OH et O sont donc les atomes à regarder après le C. Pour CH2SH : C lié à deux H par liaisons simples et à un soufre par une liaison simple, donc S et les deux H sont les atomes à regarder après le C. En effet, les atomes de carbones (premiers atomes liés au C*) sont les même atomes donc on regarde les atomes d'après que je viens de décrire et tu trouves que CH2SH est prioritaire. Tu as du mal à voir que le carbone du CH2S est directement lié au S comme le carbone du COOH est directement lié à OH et O ?

Oui parce que sur le shéma c'est COOH et CH2-SH donc je prenais pas en compte le -SH 

mais là j'ai compris, vraiment merci

Edited by SUmshi

Join the conversation

You can post now and register later. If you have an account, sign in now to post with your account.
Note: Your post will require moderator approval before it will be visible.

Guest
Reply to this topic...

×   Pasted as rich text.   Paste as plain text instead

  Only 75 emoji are allowed.

×   Your link has been automatically embedded.   Display as a link instead

×   Your previous content has been restored.   Clear editor

×   You cannot paste images directly. Upload or insert images from URL.

  • Recently Browsing   0 members

    • No registered users viewing this page.
×
×
  • Create New...