Jump to content

liaison anhydre


Go to solution Solved by Zoe.chvt,

Recommended Posts

Posted

Bonjour, dans un QCM il est compté juste que cette molécule a une liaison anhydride d'acide mais pour moi ce n'est pas le cas car les deux liaisons ester ne sont pas liés (1 est en C3 et l'autre en C5)

1200px-3'-Phosphoadenosine-5'-phosphosul

pourriez-vous m'aider ? merci d'avance

  • Solution
Posted (edited)

Salut ! ici tu a un nucléotide avec 1 groupement phosphate lié a un groupement S, tu as donc bien une liaison anhydride d'acide. J'ai d'abord eu un doute si c'était bien un liaison anhydride d'acide d'où le fait que j'ai masqué le message) mais après vérification c'est bien le cas (pour plus de détail je t'invite a regarder le sujet suivant:  )

 

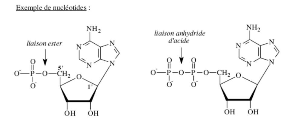
pour rappel: la liaison entre le groupement phosphate et le sucre se fait via une liaison ester tandis que celle entre les phosphate ou ici entre P et S se fait via une liaison anhydride d'acide. (je te remet une image du cours en pièce jointe) .

image.thumb.png.7015c0012cd3f96c78446ca202b6ede7.png

Mais cependant tu as tout a fait raison dans la molécule de ton exercice il y a une seconde liaison ester en C3 (en plus de celle en C5 habituellement présente).  Temps que j'y suis je te remet la diapositive sur la formation de la liaison ester image.png.d69e10e6b418db729204dba9dd2bf128.png

 

J'espère avoir pu t'aider n'hésite pas à me dire si tu as encore une question a ce sujet ! :)

Edited by Zoe.chvt
Posted
2 hours ago, Zoe.chvt said:

Salut ! ici tu a un nucléotide avec 1 groupement phosphate lié a un groupement S, tu as donc bien une liaison anhydride d'acide. J'ai d'abord eu un doute si c'était bien un liaison anhydride d'acide d'où le fait que j'ai masqué le message) mais après vérification c'est bien le cas (pour plus de détail je t'invite a regarder le sujet suivant:  )

 

pour rappel: la liaison entre le groupement phosphate et le sucre se fait via une liaison ester tandis que celle entre les phosphate ou ici entre P et S se fait via une liaison anhydride d'acide. (je te remet une image du cours en pièce jointe) .

image.thumb.png.7015c0012cd3f96c78446ca202b6ede7.png

Mais cependant tu as tout a fait raison dans la molécule de ton exercice il y a une seconde liaison ester en C3 (en plus de celle en C5 habituellement présente).  Temps que j'y suis je te remet la diapositive sur la formation de la liaison ester image.png.d69e10e6b418db729204dba9dd2bf128.png

 

J'espère avoir pu t'aider n'hésite pas à me dire si tu as encore une question a ce sujet ! :)

coucou merci je vois mieux ! Je croyais que la liaison d'anhydride d'acide se faisait seulement entre deux acides phosphorique ! 

Join the conversation

You can post now and register later. If you have an account, sign in now to post with your account.
Note: Your post will require moderator approval before it will be visible.

Guest
Reply to this topic...

×   Pasted as rich text.   Paste as plain text instead

  Only 75 emoji are allowed.

×   Your link has been automatically embedded.   Display as a link instead

×   Your previous content has been restored.   Clear editor

×   You cannot paste images directly. Upload or insert images from URL.

  • Recently Browsing   0 members

    • No registered users viewing this page.
×
×
  • Create New...