Jump to content

Biostatique Quartile


Go to solution Solved by Arthur.dgr,

Recommended Posts

Posted

Bonjour, j'ai pas compris comment on calcule Q1-Q2-Q3. Par exemple j'ai pas pu faire le qcm 4-5 dans le page 19 de pack de poly 2023-2024.

Merci beaucoup.

  • Tuteur
  • Solution
Posted

Salut @ipekkk

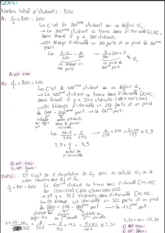
En gros ton premier quartile (Q1) sera ce qui englobe les premiers 25% de ton échantillon, pour faire plus simple on va prendre l'exemple du QCM 4

 

1698398056-capture-d-ecran-2023-10-27-11

 

Ici il faut d'abord savoir combien tu as de personnes dans ton test, dans notre cas on est a 800 

Donc en gros ton premier quartile sera les 25% au début, donc entre 0 et 200 donc tu vois que tu as 200 personne qui on une note entre 0 et 5 donc tu peux dire que ton premier quartile est a 5 donc l'item A est vrai

 

Ensuite ton Second Quartile Q2 sera jusqu'à 50%, donc 400 étudiant, donc deja tu vois que ça sera entre 5 et 10 la note tu second quartile

Donc pour le calculer tu fais 5 + 5* 200/258 ce qui te donne environ 9 donc Item B vrai

 

Pour le Troisième quartile Q3 c'est 75% donc dans notre cas de l'exercice 600 donc tu voit deja que 600 tu l'auras entre une note de 10 et 15 donc tu fais le calcul suivant 10 + 5* 142 /322 ce qui te donne environ 12,5 en arrondisant donc tu dernier item vrai est le D 

 

J'espère que cela t'as aider et si tu n'as pas compris quelque chose n'hésite pas, il y aura surement des tuteurs ou RM qui vont compléter ou corriger ma réponse 

  • 1 month later...

Join the conversation

You can post now and register later. If you have an account, sign in now to post with your account.
Note: Your post will require moderator approval before it will be visible.

Guest
Reply to this topic...

×   Pasted as rich text.   Paste as plain text instead

  Only 75 emoji are allowed.

×   Your link has been automatically embedded.   Display as a link instead

×   Your previous content has been restored.   Clear editor

×   You cannot paste images directly. Upload or insert images from URL.

  • Recently Browsing   0 members

    • No registered users viewing this page.
×
×
  • Create New...
Radio