titoulou Posted October 23, 2023 Posted October 23, 2023 Bonjour, je suis tombée sur ce QCM: Énoncé commun aux QCM 9 et 10 : Soit un compartiment de 1L séparé en deux compartiments par une membrane dialysante. Chaque compartiment contient une solution de NaCl à la même concentration et dans l’un de deux compartiments se trouve une macromolécule ionisée non diffusible. On précise que la valence de la molécule est de 10. À l’équilibre, on a : [Na+]1 x [Cl-]1 = 25 (mmol/L-1) 2 [Cl-]2 = 10 mmol.L-1. QCM 10 - À propos de la macromolécule : A. La macromolécule se trouve dans le compartiment 2. B. La macromolécule se trouve dans le compartiment 1. C. La macromolécule est chargée négativement. D. La concentration de la macromolécule est proche de 0,75 mmol. L-1. E. On ne peut déterminer la concentration de la macromolécule. Dans la correction ça dit que D est vrai mais je ne comprends pas comment on peut connaitre la concentration de la macromolécule (il n'y a pas le détail de la correction), est ce que quelqu'un pourrait m'expliquer svppp Quote
Solution PASS_muraille Posted October 23, 2023 Solution Posted October 23, 2023 Coucou @titoulou !! déjà il te faut ta concentration de Na+ dans le compartiment 2, pour la trouver, tu sais qu’à l’équilibre, on a [Na+]1 x [Cl-]1 = [Na+]2 * [Cl-]2 = 25 (mmol/L-1) Donc tu fais (Na1 * Cl1) / Cl2 = Na2 ==> 25/10 = 2,5mmol.L-1 Donc avec ce calcul, tu apprends que ta macromolécule est dans le compartiment 2, et qu’elle est positive puisque tu as plus de Cl- que de Na+, c’est fait pour compenser la charge de la macromolécule. Pour trouver sa concentration, il faut que tu connaisses cette formule : Z[P+] + [Na+]2 = [Cl-]2 avec Z ta valence et [P+] la concentration de ta macromolécule (je sais pas si c’est les vraies notations mais t’as l’idée) tu remplaces tout ce que tu connais : 10[P+] + 2,5 = 10 <=> 10[P+] = 10 - 2,5 = 7,5 <=> [P+] = 7,5/10 = 0,75 mmol.L-1 Voilà n’hésites pas si quelque chose n’était pas clair :))) péri-an-toine and InaZZ 1 1 Quote
titoulou Posted October 23, 2023 Author Posted October 23, 2023 okkk merci en fait je crois que j'avais pas compris ce qu'était la valence donc maintenant c'est bon merciiiiii PASS_muraille 1 Quote
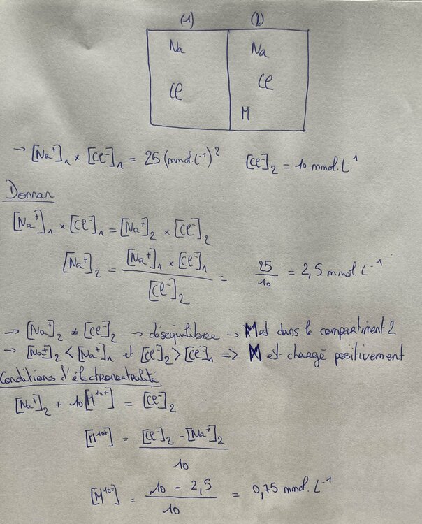
PAsdestreSS Posted October 23, 2023 Posted October 23, 2023 Salut ! Pour moi les items vrais sont AD. Pour le détail des équations elles sont pj. Avec les données que l'on a, grâce à l'équation de Donnan, on peut déterminer la concentration de [Na+]2. On trouve donc que [Na+]2= 2,5 mmol/L. Avec cette données là on voit donc qu'il y a un déséquilibre dans le compartiment 2, on peut donc en déduire que la macromolécule ionisée se trouve dans le compartiment 2. On voit également que des ions Cl on migré dans le compartiment 2 car leur concentration est plus élevé. Et que des ions Na on migré dans le compartiment 1 car leur concentration est moins élevé dans le compartiment 2. On peut ensuite via l'équation des conditions d'électroneutralité déterminer la valeur de la concentration de la macromolécule. On trouve donc que [M10+]=0,75 mmol/L. Voila bonne journée ! titoulou and YannickCouNiTat 2 Quote
InaZZ Posted October 23, 2023 Posted October 23, 2023 Je voulais juste dire que c'était très bien expliqué merci ! titoulou and PASS_muraille 1 1 Quote
Recommended Posts
Join the conversation
You can post now and register later. If you have an account, sign in now to post with your account.
Note: Your post will require moderator approval before it will be visible.