Jump to content

Le Q3


Go to solution Solved by ekhi_laurentie,

Recommended Posts

Posted (edited)

Le p'tit QCM pour le contexte (du poly de biostat 2023-2024):

 image.png.812650f426a6173e3347a7b4687355e6.png

 

Bon, l'item A et B (donc C) j'ai pas compris comment faire et dans la correction on détaille presque rien

 

Mais pour la D et la E j'ai essayé de penser par moi même et j'ai fait : 

Sanstitre(1).thumb.png.cecbe5e12eb843f455258e269a045c7d.png

 

Mais dans la correction la D est compté vrai avec :

D. VRAI: Q3 = 10 +5 * 142/322 ≈ 12.21

E. cf D

 

Donc voila, je comprend pas la méthode utilisé et pourquoi la D est vrai

 

Merci pour vos réponses ! :)

 

Edited by Natsukiuri
Posted

Coucou, 

 

Je vais essayer de te répondre avec une autre méthode en espérant que cela t'éclaire un peux mieux.

 

Pour commencer on est bien d'accord ta médiane est à 400 il suffit juste de diviser par 2 l'effectif total.

Ensuite je trouve que c'est plus clair lorsqu'on calcule les effectifs cumulés, c'est à dire:

 

 

Notes

Nb étudiants

Effectifs cumulés

0-5

200

200

5-10

258

458

10-15

322

780

15-20

20

800

 

et on remarque que 400 se situe dans l'intervalle 5-10 on prend alors la valeur la plus basse qui correspond au Q1 donc Q1 = 5 la réponse A est juste.

 

Ensuite pour déterminer le Q2 moi j'ai une formule je ne suis pas sure qu'elle soit dans le cours mais si ca peut aider alors la voila:

D'abord on sait que:

Q1 = 5 et on a 200 etudiants qui ont eu moins de 5

Q3 = 10 et on a 458 etudiants qui ont eu moins de 10

 

on peut alors utiliser l'equation suivante:

 

image.png.4ee620c2d77b7523612704b921757b45.png

 donc l'item B est juste mais par contre les valeurs données dans les propositions sont très proche et normalement vu que vous n'avez pas de calculette à l'examen les profs mettent des valeurs assez éloignées.

 

 

Posted

Pour l'item D et E j'utilise la même formule avec :

600 qui correspond a 75% des étudiants

si on reprend mon tableau, on voit que 600 est dans l'intervalle 10-15 

On sait aussi que 458 étudiants ont eu moins de 10 et 780 ont eu moins de 15 

 

je reprend mon equation et ca donne ca

 

image.png.13fe04ff7f03982ee36fbb03214bcd75.png
 et On voit bien que c'est l'item D qui est juste
attention je l'ai appelé Q3 dans ma formule mais ca correspond pas vraiment a Q3
 
Je sais pas vraiment si tu comprends mieux comme ca, si ca t'embrouille te prends pas la tête avec ca mais je sais que moi je préfère avoir une formule que je peux appliquer un peu partout.
 
Bon courage pour tes révisions !!! ❤️
Posted
il y a une heure, ekhi_laurentie a dit :

Salut !

 

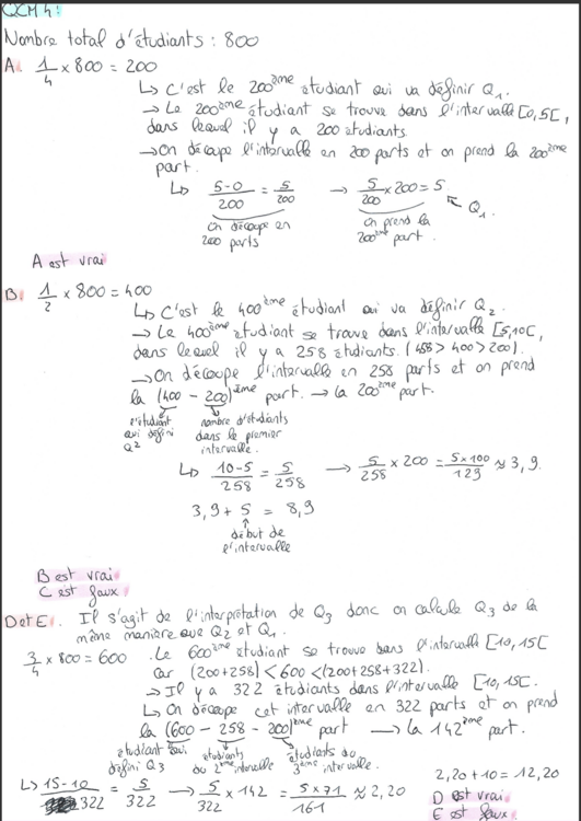
J'ai essayé de détailler au max la correction du qcm dans le pdf joint.

J'espère que ça ne va pas trop t'embrouiller car il me semble que déterminer des quartiles à partir d'intervalles n'est pas au programme...

 

Bonne journée !

 

Réponse forum.pdf 838.99 Ko · 12 downloads

Je reposte mon pdf en format image pour vous ne soyez pas obligé de le télécharger...

 

JCapturedcran2023-10-1914_14_48.thumb.png.d228e6396e6cd6f0e14f0b0960d8f69d.png

Posted
Il y a 1 heure, Natsukiuri a dit :

 

 

Sanstitre(1).thumb.png.cecbe5e12eb843f455258e269a045c7d.png

 

 

et attention quand tu prend 342 c'est le nombre d'étudiants qui on plus de 10 or c'est pas dans cet intervalle que tu doit regarder car on cherche si 75% on eu une note inférieure à 12,21 donc l'intervalle 15-20 est supérieur je sais pas si tu comprends. Toi tu dois te focaliser sur les intervalles 0-5, 5-10 et 10-15 car c'est la que se situent les étudiants qui ont eu moins de 12,21.

 

Si c'est pas clair n'hésite pas à redemander une explication et tu verras en t'entrainant ca viendra tout seul !!

Posted

Super merci beaucoup @Carambar pour ta réponse et ta formule :D, elle me sera super utile !

 

il y a une heure, Carambar a dit :

c'est pas dans cet intervalle que tu doit regarder car on cherche si 75% on eu une note inférieure à 12,21 donc l'intervalle 15-20 est supérieur

Révélation

Je viens de comprendre mon erreur, moi je me suis focalisé sur ce qui ont plus de 11,46 et 12,21, j'ai fait l'inverse de ce qui est demandé (oupsi)

 

Merci beaucoup @ekhi_laurentie pour ton explication super détaillé, un vrai trésor !

Join the conversation

You can post now and register later. If you have an account, sign in now to post with your account.
Note: Your post will require moderator approval before it will be visible.

Guest
Reply to this topic...

×   Pasted as rich text.   Paste as plain text instead

  Only 75 emoji are allowed.

×   Your link has been automatically embedded.   Display as a link instead

×   Your previous content has been restored.   Clear editor

×   You cannot paste images directly. Upload or insert images from URL.

  • Recently Browsing   0 members

    • No registered users viewing this page.
×
×
  • Create New...
Radio