Jump to content

Question annales Maraîchers, 2018, QCM 12


Go to solution Solved by BarbaPass,

Recommended Posts

Posted

Salut salut, je ne comprend pas pourquoi cet item est faux:

"B est le (2R)-1-bromo-propan-2,3-diol."

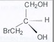
Voilà la molécule B: 

 image.png.73672a7c6020da04f048dadba4796ff4.png

Merci d'avance ! 

  • Solution
Posted

Coucou @btfe ! 

 

B est le 3-bromo-propan-1,2-diol ! 

La fonction principale doit avoir la numérotation la plus petite 😉

Pour la configuration, le carbone 2 est bien R. 

Voilaaa 

c'est plus clair ? 

Join the conversation

You can post now and register later. If you have an account, sign in now to post with your account.
Note: Your post will require moderator approval before it will be visible.

Guest
Reply to this topic...

×   Pasted as rich text.   Paste as plain text instead

  Only 75 emoji are allowed.

×   Your link has been automatically embedded.   Display as a link instead

×   Your previous content has been restored.   Clear editor

×   You cannot paste images directly. Upload or insert images from URL.

  • Recently Browsing   0 members

    • No registered users viewing this page.
×
×
  • Create New...