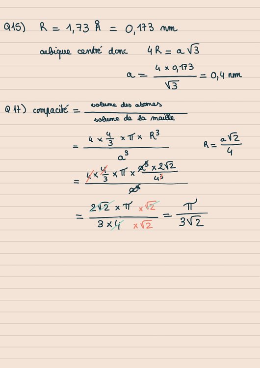
Midwiflower Posted March 15, 2023 Posted March 15, 2023 Salut, j’ai vu que tu avait répondu à un post sur la chimie du solide donc je fait appel à ton aide pour une petite question ici pour la Q17 et la Q15 s’il te plaît https://zupimages.net/viewer.php?id=23/11/o4pp.jpeg Quote
Ancien du Bureau Solution Roussette Posted March 15, 2023 Ancien du Bureau Solution Posted March 15, 2023 Hey @newPASS_31 ! Voici ce que j'ai essayé de te détailler : J'espère que ça pourra t'aider Bon courage Quote
Midwiflower Posted March 15, 2023 Author Posted March 15, 2023 c’est nickel merciiiii @Roussette Roussette 1 Quote
Midwiflower Posted March 19, 2023 Author Posted March 19, 2023 (edited) CC @Roussetteje reviens sur cet exo parce que je me demandais si a la place de remplacer le R par son équation on remplace le a ça donnera la même formule ? Edited March 19, 2023 by newPASS_31 Quote
Ancien du Bureau Roussette Posted March 19, 2023 Ancien du Bureau Posted March 19, 2023 Hey @newPASS_31, je ne suis pas sûre d'avoir compris ta question ... a c'est le paramètre de maille, c'est à dire le côté du cube R c'est le rayon des atomes Après pour savoir si l'item est vrai tu peux prendre le problème à l'envers et remplacer a par 0,4nm dans l'équation et retrouver que R = 1,73 Å mais du coup l'équation ne sera pas la même ce sera genre R = a*sqrt(3)/4 = ... = 0,173 nm J'espère avoir répondu à ta question ... Bon courage Quote
Recommended Posts
Join the conversation
You can post now and register later. If you have an account, sign in now to post with your account.
Note: Your post will require moderator approval before it will be visible.