SeigneurDesAnnales Posted March 11, 2023 Posted March 11, 2023 (edited) Bonjour, je n'ai pas compris le qcm 15 des qcm supplémentaires si un rm/tuteur peux m'expliquer je serais ravi ! Révélation @Fabulo@Au-ccipital Edited March 11, 2023 by SeigneurDesAnnales Quote
James Posted March 11, 2023 Posted March 11, 2023 Coucou! J’avoue que je bug dès le début avec la nomenclature pent-2-ènol. J’ai peut être loupé quelque chose mais je me souviens pas avoir déjà vu ça Même en cherchant sur internet j’ai pas beaucoup de pistes. Je vais essayer de te faire le QCM selon ma théorie ahah mais je garanti pas le résultat donc à faire vérifier par les autres !! Ducoup selon moi et d’après la correction du QCM, il s’agit plutôt du pent-2-en-1-ol (on doit normalement préciser la position de l’alcool car sur le pentane il peut être positionné à plusieurs endroits) Je reviens vers toi plus tard je vais essayer de faire le QCM à tête reposée ! Quote
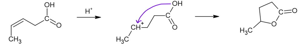
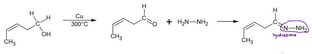
Solution Insolence Posted March 11, 2023 Solution Posted March 11, 2023 Coucou @SeigneurDesAnnales ! J'imagine que tu parles de ce QCM : Item A : Le pent-2-énol ça ressemble à ça : Le carbone qui porte l'alcool est relié à un seul atome de carbone : c'est bien un alcool primaire Item B : On oxyde l'alcool avec du permanganate de potassium. Comme c'est un alcool primaire on obtiendra un acide carboxylique : Item C : C est formé par exposition du pent-2-énol à des vapeurs de cuivre a 300°C. Comme on part d'un alcool primaire, C est un aldéhyde, une espèce justement qui réduit la liqueur de Fehling. Item D : On obtient une hydrazone pas une oxime :( Item E : Là je pense que c'est une errata parce qu'il n'est pas censé y avoir de retour de la double liaison après cyclisation : pHi, etteblabla and SeigneurDesAnnales 2 1 Quote
SeigneurDesAnnales Posted March 11, 2023 Author Posted March 11, 2023 Merci énormément ! Mais du coup avec le com comment tu es censé savoir où est l'alcool ? pHi 1 Quote
James Posted March 11, 2023 Posted March 11, 2023 il y a 12 minutes, Insolence a dit : Coucou @SeigneurDesAnnales ! J'imagine que tu parles de ce QCM : Item A : Le pent-2-énol ça ressemble à ça : Le carbone qui porte l'alcool est relié à un seul atome de carbone : c'est bien un alcool primaire Item B : On oxyde l'alcool avec du permanganate de potassium. Comme c'est un alcool primaire on obtiendra un acide carboxylique : Item C : C est formé par exposition du pent-2-énol à des vapeurs de cuivre a 300°C. Comme on part d'un alcool primaire, C est un aldéhyde, une espèce justement qui réduit la liqueur de Fehling. Item D : On obtient une hydrazone pas une oxime :( Item E : Là je pense que c'est une errata parce qu'il n'est pas censé y avoir de retour de la double liaison après cyclisation : J’ai bien besoin de cours moi aussi alors Comment tu trouve cette molécule avec cette nomenclature? SeigneurDesAnnales and Insolence 1 1 Quote
Insolence Posted March 11, 2023 Posted March 11, 2023 à l’instant, SeigneurDesAnnales a dit : Merci énormément ! Mais du coup avec le com comment tu es censé savoir où est l'alcool ? Alors je suis d'accord que la molécule est pas très bien nommée mais normalement quand il n'y a pas d'indication pour la position c'est que la fonction se situe sur le carbone n°1 Quote
James Posted March 11, 2023 Posted March 11, 2023 à l’instant, Insolence a dit : Alors je suis d'accord que la molécule est pas très bien nommée mais normalement quand il n'y a pas d'indication pour la position c'est que la fonction se situe sur le carbone n°1 mais ducoup dans la molécule que tu as dessinée il est sur le 5eme carbone ? Puisque la DL est sur le deuxième pHi 1 Quote
SeigneurDesAnnales Posted March 11, 2023 Author Posted March 11, 2023 Et là c'est pas sur le premier carbone mais c'est sur le 5ème Quote
James Posted March 11, 2023 Posted March 11, 2023 il y a 1 minute, SeigneurDesAnnales a dit : Et là c'est pas sur le premier carbone mais c'est sur le 5ème Oui voilà, cette nomenclature n’est vraiment pas à retenir car elle est totalement fausse ! Même si la fonction est sur le premier carbone il faut quand même marquer 1-ol SeigneurDesAnnales 1 Quote
SeigneurDesAnnales Posted March 11, 2023 Author Posted March 11, 2023 Parce que si tu considère que c'est sur le premier ben tu as ton en ène en 3 et pas en 2 Quote
Insolence Posted March 11, 2023 Posted March 11, 2023 Ah oui mais en fait je sais pas pourquoi la molécule ressemble à ça du coup en effet SeigneurDesAnnales 1 Quote
James Posted March 11, 2023 Posted March 11, 2023 il y a 1 minute, Insolence a dit : Ah oui mais en fait je sais pas pourquoi la molécule ressemble à ça du coup en effet Ca doit être un errata @Fabulo @Au-ccipital Quote
SeigneurDesAnnales Posted March 11, 2023 Author Posted March 11, 2023 Merci quand même au moins j'ai compris la suite (même si c'est pas le plus compliqué) vous savez qui a fait le qcm ? James 1 Quote
James Posted March 11, 2023 Posted March 11, 2023 à l’instant, SeigneurDesAnnales a dit : Merci quand même au moins j'ai compris la suite (même si c'est pas le plus compliqué) vous savez qui a fait le qcm ? Non, je sais juste que c’est pas moi ducoup mdrrr SeigneurDesAnnales 1 Quote
Insolence Posted March 11, 2023 Posted March 11, 2023 (edited) il y a 8 minutes, SeigneurDesAnnales a dit : vous savez qui a fait le qcm ? Aucune idée non plus :/ Edited March 11, 2023 by Insolence SeigneurDesAnnales 1 Quote
pHi Posted March 11, 2023 Posted March 11, 2023 @Fabulo (j'espere que t'as pu voir le dernier Prince et Princesse qui n'est pas un Prince et Princesse mais t'as capté) @SeigneurDesAnnales j'ai deux trois questions par rapprot à ce QCM 1 ok il y a un prb dans la nomenclature, mais si ca fini par "énol" comment est-on sencés savoir que c'est un en+ol -C=C-OH et pas un énol =C-O(-) ? 2 on a vu les lactones en cours ?? 3 on est d'accord que pour former une lactone (ou n'importe quel cycle sans liaison hydrogene) on doit partir d'un alcool II, qui devient un acide carboxylique ou une aldéhyde (genre une cétone ca ne fonctionne pas parce qu'il n'y pas de H labile sur le C) ? Quote
SeigneurDesAnnales Posted March 11, 2023 Author Posted March 11, 2023 (edited) Première question : 100% d'accord c'est ce qui m'a posé problème je pense que si ce n'est pas écrit tu dois considérer que c'est : C=C-O- Deuxième : oui à la dernière heure avec les lactames en gros c'est un cyclisation intramoléculaire entre un acide et un alcool en delta ou lambda Troisième : alors pas forcément un alcool II et il ne devient pas un acide carboxylique mais il met en commun l'oxygène de l'alcool Révélation Quel plaisir quand quelqu'un te pose une Edited March 11, 2023 by SeigneurDesAnnales Quote
pHi Posted March 11, 2023 Posted March 11, 2023 1e mais ducoup là il fallait considérer l'inverse...mais ok je retiens ca (stv je te dis si jamais je retombe sur un item foireux de ce style) 2e oook merci bcp ! 3e donc théoriquement, meme un alcool III peut permettre de former un cycle (avec une branche du 3e R ducoup) (je viens de le dessiner, ca fonctionne de ouf) SeigneurDesAnnales 1 Quote
SeigneurDesAnnales Posted March 11, 2023 Author Posted March 11, 2023 Non pas tertiaire mais primaire oui Quote
James Posted March 11, 2023 Posted March 11, 2023 il y a 10 minutes, SeigneurDesAnnales a dit : Première question : 100% d'accord c'est ce qui m'a posé problème je pense que si ce n'est pas écrit tu dois considérer que c'est : C=C-O- Deuxième : oui à la dernière heure avec les lactames en gros c'est un cyclisation intramoléculaire entre un acide et un alcool en delta ou lambda Troisième : alors pas forcément un alcool II et il ne devient pas un acide carboxylique mais il met en commun l'oxygène de l'alcool Masquer le contenu Quel plaisir quand quelqu'un te pose une Je suis d’accord avec vous pour la forme “énol” sous entendu l’ion enolate C=C-O- je m’étais moi même posé la question en faisant le QCM mais puisque le premier item est vrai c’est pas le sens que voulais donner le tuteur à sa molécule SeigneurDesAnnales and Fabulo 2 Quote
pHi Posted March 11, 2023 Posted March 11, 2023 mais... https://zupimages.net/viewer.php?id=23/10/j7xg.jpg Quote
Pucca Posted March 11, 2023 Posted March 11, 2023 il y a 20 minutes, pHi a dit : 1 ok il y a un prb dans la nomenclature, mais si ca fini par "énol" comment est-on sencés savoir que c'est un en+ol -C=C-OH et pas un énol =C-O(-) ? C'est parce qu'ici c'est "-ènol" car c'est un alcène et qu'il y a un alcool donc "èn" pour indiquer la double liaison et "ol" pour indiquer qu'il y a une fonction alcool différent donc de "énol" avec -C=O(-) pHi 1 Quote
pHi Posted March 11, 2023 Posted March 11, 2023 il y a 2 minutes, Pucca a dit : C'est parce qu'ici c'est "-ènol" car c'est un alcène et qu'il y a un alcool donc "èn" pour indiquer la double liaison et "ol" pour indiquer qu'il y a une fonction alcool différent donc de "énol" avec -C=O(-) @SeigneurDesAnnales enfaite c'était une question d'accent Fabulo and Pucca 2 Quote
James Posted March 11, 2023 Posted March 11, 2023 à l’instant, pHi a dit : @SeigneurDesAnnales enfaite c'était une question d'accent oui mais de toute façon tu ne verra jamais la nomenclature “ènol” Quote
Recommended Posts
Join the conversation
You can post now and register later. If you have an account, sign in now to post with your account.
Note: Your post will require moderator approval before it will be visible.