Jump to content

Chimie orga


Go to solution Solved by Insolence,

Recommended Posts

  • Solution
Posted

Coucou @Laulau13 !

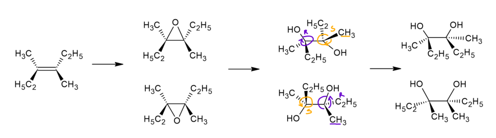
C'est en fait parce que B est un composé méso : tu obtiens une molécule SR et une autre RS mais en fait ce sont toutes les deux la même molécule. Je t'ai refait le détail de la réaction :

image.thumb.png.caa974d79bacf23796b3819ff352cf6f.png

Dans la dernière étape j'ai juste "fait tourner" un des deux carbones oxydés pour qu'on voit bien que le composé est méso.

C'est plus clair ?

Join the conversation

You can post now and register later. If you have an account, sign in now to post with your account.
Note: Your post will require moderator approval before it will be visible.

Guest
Reply to this topic...

×   Pasted as rich text.   Paste as plain text instead

  Only 75 emoji are allowed.

×   Your link has been automatically embedded.   Display as a link instead

×   Your previous content has been restored.   Clear editor

×   You cannot paste images directly. Upload or insert images from URL.

  • Recently Browsing   0 members

    • No registered users viewing this page.
×
×
  • Create New...