Jump to content

2 questions autres en chimie orga.


Go to solution Solved by Pucca,

Recommended Posts

Posted

Bonjour !!

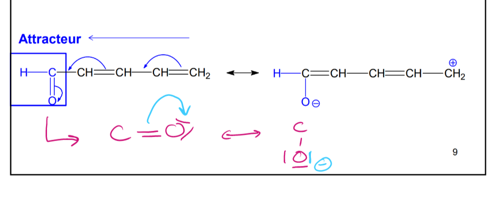
-Dans le 9 encadré du poly, je ne me souviens plus où part la double liaison alors qu'il est attiré par le O. Disparaît-il ?

- Dans l'encadré 12? pourquoi l'halogène attire à lui la double liaison alors qu'il est mésomère donneur ? Merci à qui me répondra.

  • Solution
Posted

Salut @Yayalakalash

@James je crois que ça fait référence aux encadrés du poly de la prof. 

 

-Lorsque les électrons de la double liaison sont attirés vers le O, il va se former un 3ème dnl autour du O (=> charge -), je te l'ai dessiné 

 

yq11.png

 

- Pour les halogènes je crois qu'en fait tu ne visualises pas bien ce qui se passe : ce n'est pas la double liaison qui se déplace plus proche de l'halogène mais le dnl de l'halogène qui se déplace pour former une double liaison et l'ancienne double liaison qui devient un dnl. Je t'ai fait repasser avec un code couleur pour que tu comprennes mieux ce qui se passe

 

xqr2.png

 

J'espère que c'est plus clair, n'hésite pas si jamais 

 

Join the conversation

You can post now and register later. If you have an account, sign in now to post with your account.
Note: Your post will require moderator approval before it will be visible.

Guest
Reply to this topic...

×   Pasted as rich text.   Paste as plain text instead

  Only 75 emoji are allowed.

×   Your link has been automatically embedded.   Display as a link instead

×   Your previous content has been restored.   Clear editor

×   You cannot paste images directly. Upload or insert images from URL.

  • Recently Browsing   0 members

    • No registered users viewing this page.
×
×
  • Create New...