Jump to content

chimie


Go to solution Solved by Yayalakalash,

Recommended Posts

Posted

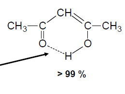
Bonjour j'ai eu un ptit bug avec mon pc est j'ai perdue mes notes sur le cours de chimie est ce que qq auraient juste simplement le nom de cette molécule (lors de l'éq tautomérie) svp 

image.png.f2d12a45ce1a87ab6b03db8e97af1788.png

Join the conversation

You can post now and register later. If you have an account, sign in now to post with your account.
Note: Your post will require moderator approval before it will be visible.

Guest
Reply to this topic...

×   Pasted as rich text.   Paste as plain text instead

  Only 75 emoji are allowed.

×   Your link has been automatically embedded.   Display as a link instead

×   Your previous content has been restored.   Clear editor

×   You cannot paste images directly. Upload or insert images from URL.

  • Recently Browsing   0 members

    • No registered users viewing this page.
×
×
  • Create New...