Midwiflower Posted February 28, 2023 Posted February 28, 2023 (edited) Bonsoiiiir, est ce que quelqu’un pourrait me montrer comment est faite et ce qu’on obtient par une hydrolyse acide sur alcène s’il vous plaît parce que j’ai un doute sur une molécule. mercii d’avance! https://zupimages.net/viewer.php?id=23/09/ja89.jpeg (sur celle ci éventuellement) Edited February 28, 2023 by newPASS_31 Quote
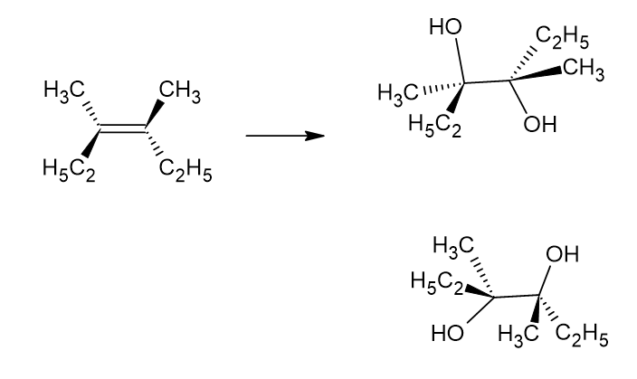
Solution Insolence Posted March 1, 2023 Solution Posted March 1, 2023 Coucou @newPASS_31! Normalement après action d'un péracide et hydrolyse acide tu obtiens ça: En fait c'est la même molécule puisque ton produit est méso. C'est plus clair ? PASSsanitaire, Dr_LaPat and Au-ccipital 3 Quote
Ancien Responsable Matière ... Posted March 1, 2023 Ancien Responsable Matière Posted March 1, 2023 @Insolence je m'incruste totalement mais du coup une hydrolyse c'est une réduction ? Quote
Midwiflower Posted March 1, 2023 Author Posted March 1, 2023 Et si c’était que le peracide ou que l’hydrolyse a part qui étaient réalisés? Enfaite moi je pensait que ça donnait la même chose donc je votais pas pourquoi on fait deux réactions (c sûrement pas clair ) Quote
druide Posted March 1, 2023 Posted March 1, 2023 Salut @newPASS_31 Alors si tu utilises uniquement ton péracide, tu vas t'arrêter à ton époxyde. Et puis une hydrolyse seule sur un alcène ne va rie t'apporter puisque ce n'est pas "assez" acide pour pouvoir attaquer ta double liaison. Le fait que dans un premier temps tu formes ton epoxyde va permettre que l'hydrolyse en milieu acide soit efficace. Je sais pas si c'est clair ce que j'ai raconté mais bon. Au-ccipital 1 Quote
Insolence Posted March 1, 2023 Posted March 1, 2023 Il y a 6 heures, ... a dit : @Insolence je m'incruste totalement mais du coup une hydrolyse c'est une réduction ? Coucou @..., Je saurais pas trop te dire. On a un groupe OH qui s'est rajouté donc on pourrait penser que c'est une oxydation mais avec les hydrogènes et le fait qu'à l'état peroxyde il y avait aussi liaisons avec un oxygène ça justifie aussi une réduction. @Au-ccipital @Fabulo ? Quote
Ancien Responsable Matière Au-ccipital Posted March 4, 2023 Ancien Responsable Matière Posted March 4, 2023 Le 01/03/2023 à 17:00, Insolence a dit : Je saurais pas trop te dire. On a un groupe OH qui s'est rajouté donc on pourrait penser que c'est une oxydation mais avec les hydrogènes et le fait qu'à l'état peroxyde il y avait aussi liaisons avec un oxygène ça justifie aussi une réduction. @Au-ccipital @Fabulo ? Pour moi c'est ni l'un ni l'autre, mais je ne suis pas sûre à 100%. Avais tu vu ça dans un QCM @...? Insolence 1 Quote
Ancien Responsable Matière ... Posted March 4, 2023 Ancien Responsable Matière Posted March 4, 2023 @Au-ccipital non mais comme dans le cas d'une oxydation douce elle rajoute des H sur l'epoxyde je me demandais si on pouvait généraliser Quote
Recommended Posts
Join the conversation
You can post now and register later. If you have an account, sign in now to post with your account.
Note: Your post will require moderator approval before it will be visible.