Jump to content

Qcm


Go to solution Solved by Au-ccipital,

Recommended Posts

Posted

t5ds.jpeg
salut es que quelqu’un pourrait m’aider pour les qcm 15 et 16 je n’y arrive pas svpppmerciii d’avance !!!!

  • Ancien Responsable Matière
  • Solution
Posted

Coucou @Selm!

Je suis repartie depuis la réaction du 14 pour trouver le composé B:

image.png.0a01f9bc883fb1dd06706788f42fbc25.png

 

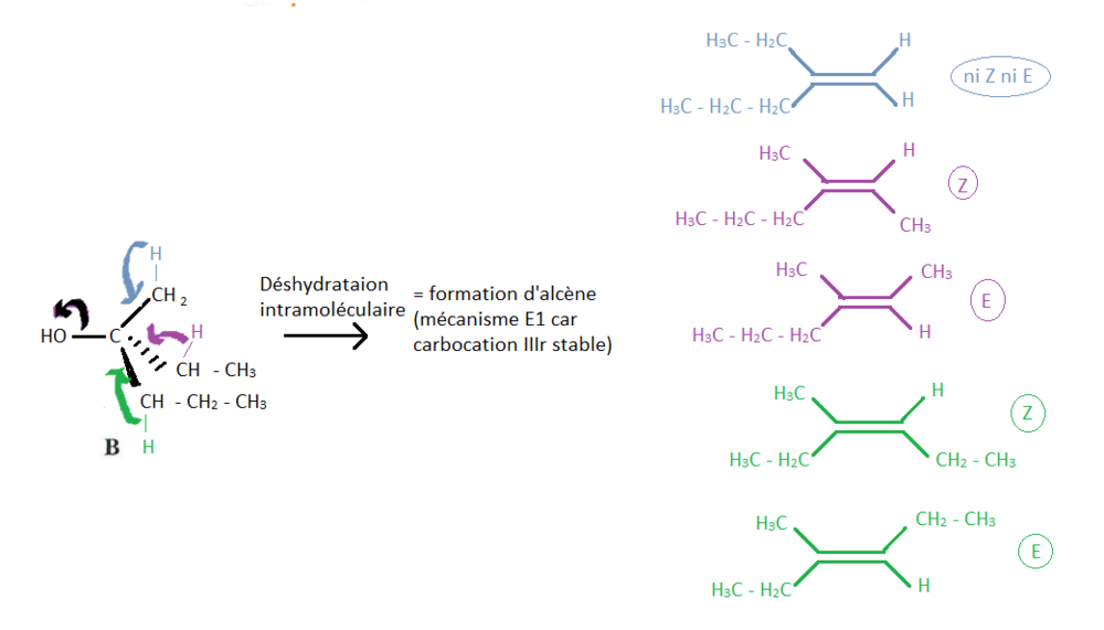
Pour le QCM 15: On te dit qu'on traite le composé B par de l'acide sulfurique à 170 °C. Ceci doit t'évoquer une déshydratation intramoléculaire.

Au niveau du mécanisme, tu vas avoir une élimination, qui va faire que le OH et un H (en alpha de cette fonction alcool) vont "quitter" la molécule (cf différentes flèches sur mon schéma). L'alcool que tu as là est tertiaire, donc ça va être un mécanisme d'ordre 1 (carbocation tertiaire stable). Ce n'est donc pas stéréosélectif, donc tu peux aussi bien obtenir l'alcène Z que E (sauf pour l'alcène en bleu, puisqu'il y a un carbone qui est lié 2 fois à des H).

Donc à la fin , tu as 5 diastéréoisomères possibles, et on obtient des isomères GEOMETRIQUES

⚠️Attention : isomères OPTIQUES = S/R ; isomères GEOMETRIQUES = Z/E.

 

image.thumb.png.0f3aa174af49b8d40f7ffc5dafd63205.png

 

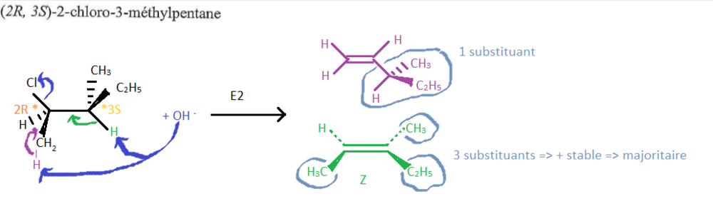
QCM 16 : On te parle d'une base concentrée à chaud sur un dérivé halogéné : tu peux en déduire direct que ça va être une élimination. Ensuite, on te dit que le solvant est polaire aprotique, donc ce sera d'ordre 2. Donc tu auras un mécanisme concerté et stéréosélectif. Un peu comme tout à l'heure, ça va être l'halogène et un H en alpha qui vont "quitter" la molécule (cf flèches du schéma): tu auras 2 alcènes possible. Pour déterminer lequel est le majoritaire, il faut que tu regardes le nombre de substituants de l'alcène.

image.thumb.png.c1e2e87419752c1034cfe52e83c0e287.png

 

Est-ce que c'est bon pour toi???

Join the conversation

You can post now and register later. If you have an account, sign in now to post with your account.
Note: Your post will require moderator approval before it will be visible.

Guest
Reply to this topic...

×   Pasted as rich text.   Paste as plain text instead

  Only 75 emoji are allowed.

×   Your link has been automatically embedded.   Display as a link instead

×   Your previous content has been restored.   Clear editor

×   You cannot paste images directly. Upload or insert images from URL.

  • Recently Browsing   0 members

    • No registered users viewing this page.
×
×
  • Create New...