Jump to content

item incompris poly


Go to solution Solved by Insolence,

Recommended Posts

Posted (edited)

Hellooo,

j'ai fait le sujet 2 du poly de printemps en pharma et en chimie orga quelque items m'ont posé prblm :

 

Il s'agit principalement des qcms 8 et 9 qui sont lié :

-l'item C du QCM 8 : je ne comprend pas comment cela peut être un thiocétal cyclique sachant que on a aucun atome de S.

De plus ici je suis rester bloqué face aux possibilités de réactions que l'on pouvait faire, en reprenant le cours je crois avoir compris que l'on fait une thiocétalisation mais je vois pas comment c'est possible car dans le cours on a besoin d'un grpmt thiol ? HELP !

 

- Ensuite la réaction qui fait réagir B avec le dithiol pour former D, il s'agit de quoi comme réaction ? Est-ce encore une fois ici une thiocétalisation mais avec vrmt des atome S ?

 

- dernier item: le C du QCM 9 : Je ne savais absoulement pas que l'on pouvait former des diastéréoisomére ZR/ES par exemple, est-ce au programme de cette année ? Si oui pouvez-vous me faire un petit topo sur ce qu'il faut savoir des isomérie impliquant une isomérie géométrique et optique dans une même molécule .

 

Ca fait bcp de question, je passe un temps fou à faire les qcms de chimie orga et quand je me trompe je passe 2 fois plus de temps à essayer de comprendre ( un enfer !)

 

Je vous remercie d'avance !!! :)

 

 

Edited by duodénum
Posted (edited)

Coucou @duodénum!

 

Il y a 9 heures, duodénum a dit :

-l'item C du QCM 8 : je ne comprend pas comment cela peut être un thiocétal cyclique sachant que on a aucun atome de S.

De plus ici je suis rester bloqué face aux possibilités de réactions que l'on pouvait faire, en reprenant le cours je crois avoir compris que l'on fait une thiocétalisation mais je vois pas comment c'est possible car dans le cours on a besoin d'un grpmt thiol ? HELP !

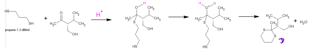
Je t'ai redétaillé la réaction sur laquelle porte l'item C :

image.thumb.png.6da5f84cc87ddbf109d7234048ac2f7b.png

Fait attention on utilise bien un dithiol donc le thioacétal peut être cyclique 

 

Il y a 9 heures, duodénum a dit :

dernier item: le C du QCM 9 : Je ne savais absolument pas que l'on pouvait former des diastéréoisomére ZR/ES par exemple, est-ce au programme de cette année ? Si oui pouvez-vous me faire un petit topo sur ce qu'il faut savoir des isomérie impliquant une isomérie géométrique et optique dans une même molécule .

Je comprends pas trop bien ta question mais si tu parles de cette réaction :

image.png.0d2bdcbe807e5d8b5f57206e5f13046b.png

ici E on l'utilise pour désigner une molécule (comme on le fait avec A, B etc.). Il ne décrit pas la molécule.

 

Dis moi si ça n'est toujours pas clair :)

Edited by Insolence
Posted

Oh mince, je crois que c'est pas une bonne idée de faire de la chimie orga le soir  😅 j'ai tout mélangé, enfait je pensais que l'item C (QCM8) parlait de la molécule C donc ça ne collait pas.

Ducoup normalement j'ai bien compris l'ensemble des items 

Sauf la première réaction impliquant les molécules A et B pour former C+H20. Je n'arrive pas à trouver dans le cours qu'elle type de réaction il s'agit ? 

 

Merci beaucoup d'avoir essayer de comprendre mes questions alors qu'elles n'avaient aucun sans !!! :)

  • Solution
Posted
il y a une heure, duodénum a dit :

Sauf la première réaction impliquant les molécules A et B pour former C+H20. Je n'arrive pas à trouver dans le cours qu'elle type de réaction il s'agit ? 

 

C'est une addition-élimination avec formation de phénylhydrazone :

image.png.8dec537d10141ff03830de48bfd202f1.png

C'est plus clair @duodénum ?

Join the conversation

You can post now and register later. If you have an account, sign in now to post with your account.
Note: Your post will require moderator approval before it will be visible.

Guest
Reply to this topic...

×   Pasted as rich text.   Paste as plain text instead

  Only 75 emoji are allowed.

×   Your link has been automatically embedded.   Display as a link instead

×   Your previous content has been restored.   Clear editor

×   You cannot paste images directly. Upload or insert images from URL.

  • Recently Browsing   0 members

    • No registered users viewing this page.
×
×
  • Create New...