Jump to content

QCM 25 sujet 1 PDP 2021-2022


Go to solution Solved by Insolence,

Recommended Posts

  • Ancien Responsable Matière
Posted

Bonjour, j'espère que vous vous portez bien, je suis dans l'incompréhension d'une réaction, si une âme charitable voudrait bien me l'expliquer par étape ça serait génial !

 

image.png.5cf3e66fed056e36a10d54ee3cb332e3.png

 

image.png.4201d21d56db3bc32d11993f8f1e827c.png

 

merci d'avance pour vos réponses :)

  • Solution
Posted

Coucou @fodimethyl!

 

Je te joins la diapo qui explique cette réaction :

image.png.3d01c1004110ba4b83389d33c0b7cfb1.png

 

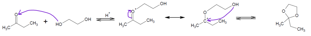
Ensuite pour la réaction de l'exercice je te l'ai refaite dans le détail :

image.thumb.png.62abecd77078dffe7b57dd365a65e10a.png

Je pense qu'il y a une erreur dans la correction pour la molécule (pas le bon nombre de carbones entre les deux liaisons ethers)

 

J'espère que ça t'aidera :)

  • Ancien Responsable Matière
Posted
Il y a 4 heures, Insolence a dit :

Coucou @fodimethyl!

 

Je te joins la diapo qui explique cette réaction :

image.png.3d01c1004110ba4b83389d33c0b7cfb1.png

 

Ensuite pour la réaction de l'exercice je te l'ai refaite dans le détail :

image.thumb.png.62abecd77078dffe7b57dd365a65e10a.png

Je pense qu'il y a une erreur dans la correction pour la molécule (pas le bon nombre de carbones entre les deux liaisons ethers)

 

J'espère que ça t'aidera :)

Merci beaucoup, j'ai franchement mieux compris grâce à toi !

Join the conversation

You can post now and register later. If you have an account, sign in now to post with your account.
Note: Your post will require moderator approval before it will be visible.

Guest
Reply to this topic...

×   Pasted as rich text.   Paste as plain text instead

  Only 75 emoji are allowed.

×   Your link has been automatically embedded.   Display as a link instead

×   Your previous content has been restored.   Clear editor

×   You cannot paste images directly. Upload or insert images from URL.

  • Recently Browsing   0 members

    • No registered users viewing this page.
×
×
  • Create New...