Jump to content

intramoléculaire


Go to solution Solved by Insolence,

Recommended Posts

Posted

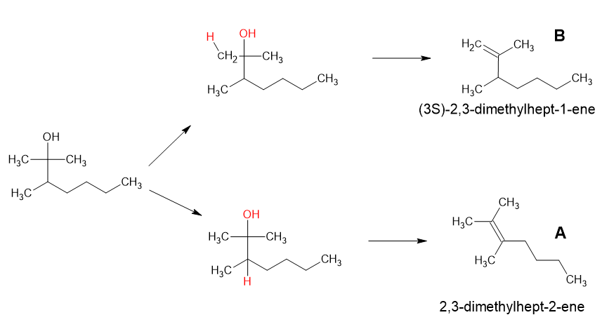
QCM 17 - Soit le (3S) 2,3-diméthylheptan-2-ol chauffé en présence d’acide sulfurique à 170°C condui- sant à A majoritaire et B minoritaire.
A. C’est une réaction de déshydratation intermoléculaire
B. C’est une réaction de type E2.

C. A est un mélange d’isomères géométriques.

D. B est optiquement actif.
E. B est le (3S) 2,3-diméthylhept-2-ène.

 

 

A est le 2,3diméthylhept-1-ène. On n’a pas de Z et E car on a les mêmes substituants -CH3 sur le carbone 2.

 

Salut, alors pour l'item C je ne comprend pas tt (v correction juste au dessus ) car moi j'obtient pas la la meme molécule A et je vois pas mon erreur 

et ensuite dans la correction il est dit de B que c'est le 2,3-diméthylhept-1-ène. soit la meme que A mais je comprend du coup pourquoi A est mayo et B minoritaire car c'est le memes 

 

 

  • Solution
Posted

Coucou @444!

Pour moi la réaction donne ça :

image.png.abda0d49b5a2ff78ccece7fb51d553c8.png

A et B sont bien différentes et ne peuvent toutes les deux pas comporter d'isomérie géométrique puisque un des carbones participant à la double liaison et relié aux mêmes composants (méthyls pour A et hydrogènes pour B).

 

Je pense qu'il y a un petit soucis dans ta correction et que les noms de A et de B ont été échangés. En effet, c'est bien le 2,3diméthylhept-1-ène qui "a les mêmes substituants -CH3 sur le carbone 2" et non le 2,3diméthylhept-1-ène.

Join the conversation

You can post now and register later. If you have an account, sign in now to post with your account.
Note: Your post will require moderator approval before it will be visible.

Guest
Reply to this topic...

×   Pasted as rich text.   Paste as plain text instead

  Only 75 emoji are allowed.

×   Your link has been automatically embedded.   Display as a link instead

×   Your previous content has been restored.   Clear editor

×   You cannot paste images directly. Upload or insert images from URL.

  • Recently Browsing   0 members

    • No registered users viewing this page.
×
×
  • Create New...