futurmedecinaskip Posted February 17, 2023 Posted February 17, 2023 Microsoft Word - C+S Pharma (tutoweb.org) pour le qcm 14 item D maraichers 2020, pk C et D ne sont pas thréos ? Quote
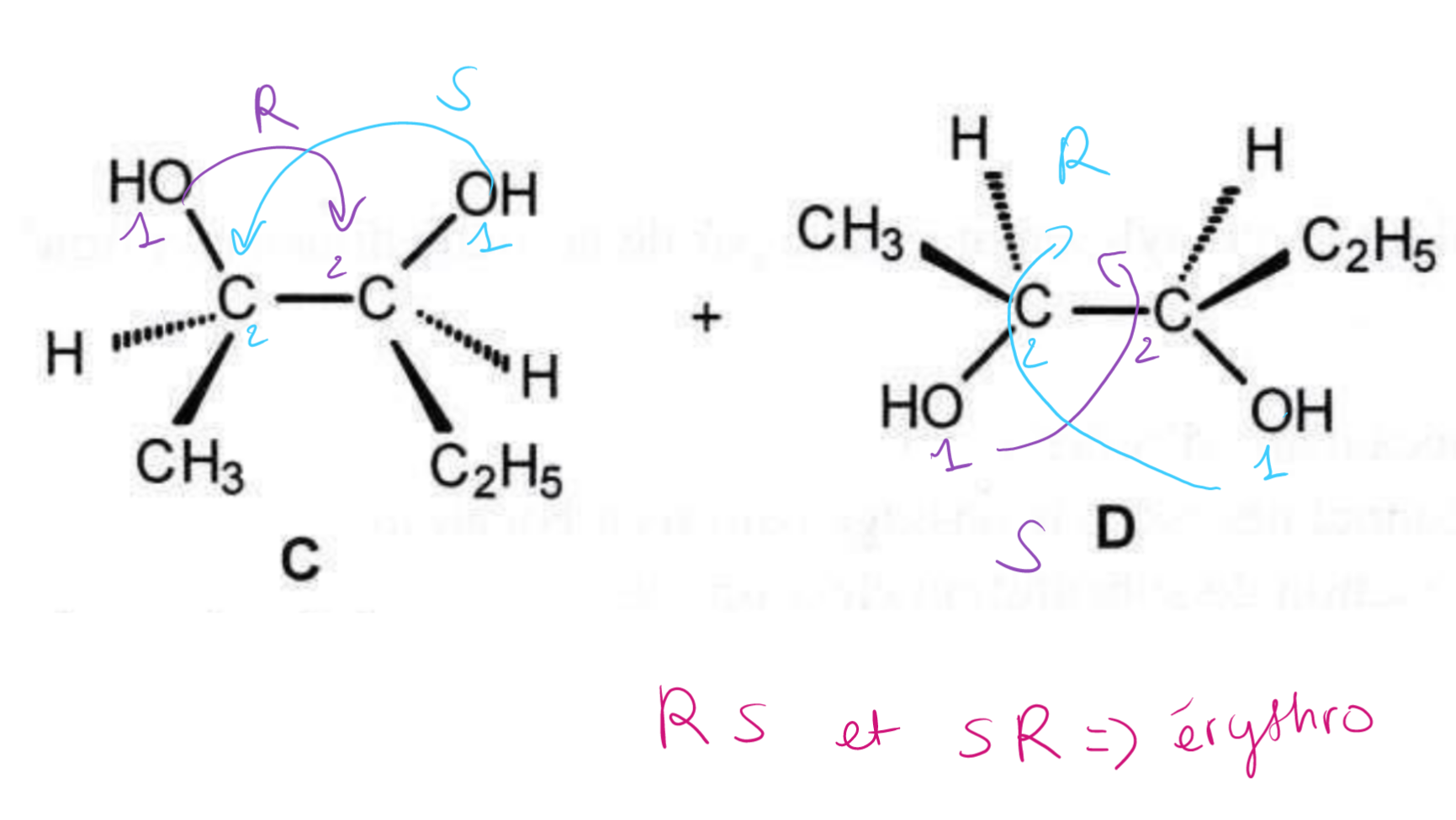
Solution Pucca Posted February 17, 2023 Solution Posted February 17, 2023 @futurmedecinaskip Pour rappel : RS + SR = érythro ou méso et RR + SS = thréo Je t'ai fait la lecture des configurations, j'espère que c'est plus clair pour toi Au-ccipital, AlexCop31 and futurmedecinaskip 3 Quote
futurmedecinaskip Posted February 18, 2023 Author Posted February 18, 2023 Il y a 23 heures, Pucca a dit : @futurmedecinaskip Pour rappel : RS + SR = érythro ou méso et RR + SS = thréo Je t'ai fait la lecture des configurations, j'espère que c'est plus clair pour toi ohh purée j'avais pas vu que tu m'avais répondu dsl, merciiii c'est débloqué dans ma petite tete, mercii ifiniment Pucca 1 Quote
Recommended Posts
Join the conversation
You can post now and register later. If you have an account, sign in now to post with your account.
Note: Your post will require moderator approval before it will be visible.